精英家教网 > 初中物理 > 题目详情

某人站在离湖岸边6m的C处,刚好能看见湖对岸的一棵树HG在水中的完整的像,如果眼距地面的高度为1.5m,湖两岸均高出湖水面1m,湖宽40m,则该树HG的高度为___________m。

 

【答案】

8

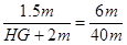
【解析】做出人看到水中树的光路图如图所示,则△ABC∽△H′BD,即,根据题意中的长度关系得,解之得HG=8m。

考点:光的反射。

 

练习册系列答案
相关习题

科目:初中物理 来源: 题型:

(2013?荆门)某人站在离湖岸边6m的C处,刚好能看见湖对岸的一棵树HG在水中的完整的像,如果眼距地面的高度为1.5m,湖两岸均高出湖水面1m,湖宽40m,则该树HG的高度为
8
8
m.

查看答案和解析>>

科目:初中物理 来源:2013年湖北省荆门市中考物理试卷(解析版) 题型:填空题

某人站在离湖岸边6m的C处,刚好能看见湖对岸的一棵树HG在水中的完整的像,如果眼距地面的高度为1.5m,湖两岸均高出湖水面1m,湖宽40m,则该树HG的高度为    m.

查看答案和解析>>

科目:初中物理 来源: 题型:

某人站在离湖岸边6m的C处,刚好能看见湖对岸的一棵树HG在水中的完整的像,如果眼距地面的高度为1.5m,湖两岸均高出湖水面1m,湖宽40m,则该树HG的高度为___________m.

查看答案和解析>>

科目:初中物理 来源:2013年初中毕业升学考试(湖北荆门卷)物理(带解析) 题型:填空题

某人站在离湖岸边6m的C处,刚好能看见湖对岸的一棵树HG在水中的完整的像,如果眼距地面的高度为1.5m,湖两岸均高出湖水面1m,湖宽40m,则该树HG的高度为___________m。

查看答案和解析>>

同步练习册答案