精英家教网 > 初中物理 > 题目详情

【题目】如图甲所示电路中,电源电压保持不变,R0为定值电阻,R为滑动变阻器。闭合开关S.移动滑片P,滑动变阻器消耗的电功率与电流关系的图象如图乙所示求

(1)滑动变阻器的最大阻值;

(2)R0的阻值和电源电压。

【答案】(1)30Ω;(2)10Ω; 8V。

【解析】

(1)当滑动变阻器接入电路中的电阻最大时,R1的最大阻值和R0串联,电流表测电路中的电流,此时电路中的电流最小,根据图乙读出电路中的最小电流和滑动变阻器的功率,根据P=I2R求出滑动变阻器的最大阻值;

(2)根据的电阻的串联和欧姆定律表示出电源的电压;由图乙可知,当电路中的电流I′=0.4A时滑动变阻器的功率,根据P=I2R求出滑动变阻器的阻值,根据电阻的串联和欧姆定律表示出电源的电压,根据电源的电压不变得出等式即可求出R0的阻值,进一步求出电源的电压。

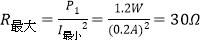
解:(1)当滑动变阻器接入电路中的电阻最大时,R的最大阻值和R0串联,电流表测电路中的电流,由图乙可知,电路中的最小电流I最小=0.2A,滑动变阻器的功率P1=1.2W,

P=I2R可得,滑动变阻器的最大阻值:

(2)因串联电路中总电阻等于各分电阻之和,

所以,由可得,电源的电压:U=I最小(R最大+R0)=0.2A×(30Ω+R0),

由图乙可知,当电路中的电流I′=0.4A时,滑动变阻器的功率P1′=1.6W,

则滑动变阻器接入电路中的电阻:

电源的电压:

U=I′(R′+R0)=0.4A×(10Ω+R0),

因电源的电压不变,

所以,0.2A×(30Ω+R0)=0.4A×(10Ω+R0),

解得:R0=10Ω,

电源的电压:U=I最小(R+R0)=0.2A×(30Ω+10Ω)=8V。

答:(1)滑动变阻器的最大阻值30Ω;

(2)R0的阻值10Ω;电源电压8V。

练习册系列答案
相关习题

科目:初中物理 来源: 题型:

【题目】在测定额定电压为3.8V的小灯泡(电阻大约为10Ω)额定功率的实验中,小明连接了如图甲所示的电路,其中电源电压为6V且保持不变。

(1)用笔画线代替导线将实物电路连接完整(要求:滑动变阻器的滑片向左移动时小灯逐渐变亮,连线不得交叉)。

___

(2)在连接电路时,开关必须_____。若有A(5Ω1A)、B(10Ω0.5A)和C(15Ω0.2A)三个滑动变阻器可供选择,则应该选择变阻器_____(填“A”、“B”或“C”)连入电路,才能保证实验顺利进行。

(3)在实验中,若电压表示数为2V,为了能测量小灯泡的额定功率,必须将滑片P向_____(选填“A”或“B”)端移动,当电压表的示数为3.8V时小灯泡正常发光,此时电流表示数如图乙所示,则小灯泡的额定功率为_____W。

(4)小明根据测量小灯泡实际功率的多组实验数据,作出了I﹣U图象,如图丙所示。结果发现图象不是直线,这表明通过小灯泡的电流与其两端的电压_____(选填“成”或“不成”)正比,这是因为_____

查看答案和解析>>

科目:初中物理 来源: 题型:

【题目】一辆水陆两栖坦克总重3×105N,它的发动机是一台新型内燃机,两条履带与地面接触的总面积为5m2.(ρ=1.0×103kg/m3g=10N/kg)

(1)该坦克要从水平冰面上经过,冰层能承受的最大压强为7×104Pa,请用计算说明坦克能否安全通过?

(2)该坦克涉水过河漂浮在水面上时,求它排开水的体积是多大?

(3)一次执行任务时,该坦克在平直公路上匀速行驶1200m,用时2min,发动机牵引力的功率保持600kW恒定不变,发动机消耗了4.5kg的燃料(燃料的热值为4.0×107J/kg),求发动机提供的牵引力是多大?发动机的效率是多大?

查看答案和解析>>

科目:初中物理 来源: 题型:

【题目】在探究凸透镜成像规律的实验中,将点燃的蜡烛放在凸透镜前某一位置,在凸透镜后20cm的光屏上出现一个等大倒立的像,如果将蜡烛移动到凸透镜前25cm处,则

A. 光屏上会出现倒立放大的实像

B. 将光屏靠近凸透镜一段距离,光屏上会出现倒立缩小的实像

C. 将光屏远离凸透镜一段距离,光屏上会出现倒立放大的实像

D. 无论怎样移动光屏,光屏上均找不到像

查看答案和解析>>

科目:初中物理 来源: 题型:

【题目】在“探究物质的吸热能力”实验中,把质量均为0.5kg的水和食用油分别装入两个相同的容器内,用相同的电加热器给它们加热,其温度随时间变化的图象如图所示。不考虑实验中的热损失,加热2min食用油吸收的热量是_____J,电加热器的实际功率是_____W.(c=4.2×103J/(kg℃))

查看答案和解析>>

科目:初中物理 来源: 题型:

【题目】下列光现象中属于光的折射的是

A. 绿树成荫 B. 水面波光粼粼

C. 对镜化妆 D. 看到海上日出

查看答案和解析>>

科目:初中物理 来源: 题型:

【题目】探究“凸透镜成像”和“平面镜成像的特点”的实验。

(1)在探究“凸透镜成像”的实验中,有三只凸透镜:焦距为10cm、②焦距为15cm、③焦距为20cm.将其中一只凸透镜固定在40cm刻度线处,适当调整点燃蜡烛和光屏的位置,直到光屏上得到清晰的烛焰像像未画出,如图所示,则选用的凸透镜是_____选填“①”、“②”或“③”),此时烛焰像是_____选填“放大”或“缩小”的,_____选填“照相机”、“投影仪”或“放大镜”就是利用这一原理工作的。

(2)将点燃的蜡烛移到35cm刻度线处,移动光屏,屏上找不到烛焰像,为了探究此时烛焰像的特点,眼睛应在凸透镜_____选填“左”或“右”侧观察,会看到一个_____选填“正立”或“倒立”的烛焰像。

(3)为了探究“平面镜成像的特点”,保持点燃蜡烛在35cm刻度线处位置不变,将图中的凸透镜换成厚度为_____选填“2mm”或“5mm”)的玻璃板;再将光屏换成等大的蜡烛,并移动到_____cm刻度线处,可以比较像与物的关系。

(4)将点燃的蜡烛远离玻璃板时,玻璃板所成蜡烛像的大小_____选填“变大”、“变小”或“不变”

查看答案和解析>>

科目:初中物理 来源: 题型:

【题目】如图所示是“探究平面镜成像特点”的实验装置图。

(1)选择用玻璃板代替平面镜进行实验,主要目的是为了_____(选填“像更清晰”或“确定像的位置”);

(2)实验中,在竖立的玻璃板前点燃蜡烛A.拿未点燃的蜡烛B竖直在玻璃板后面移动,人眼一直在玻璃板的前侧观察,直至蜡烛B与蜡烛A的像完全重合,这种确定像与物大小的方法是_____(选填“等效替代法”或“控制变量法”);

(3)在探究实验的过程中,当蜡烛A远离玻璃板时,它的像的大小将_____(选填“不变”或“变小”)。

查看答案和解析>>

科目:初中物理 来源: 题型:

【题目】电动自行车有行驶工作、蓄电池充电两种状态,局部电路图如图所示。断开S后,充电插口可以外接充电器对蓄电池进行充电。电功自行车行驶过程中,其电动机正常工作电压为48V,此时通过电动机线圈的电流为5A.电动机线圈的电阻是0.5Ω,下列说法正确的是

A. 对蓄电池充电时,蓄电池相当于电路中的用电器

B. 电动自行车的电动机是把电能全部转化为机械能

C. 电动机正常工作1min,电流通过线圈所产生的热量为14400J

D. 电动机正常工作lmin,消耗的电能为14400J

查看答案和解析>>

同步练习册答案