精英家教网 > 初中物理 > 题目详情
给你一个电压不变的电源,一只电流表,一个阻值已知的电阻R0,开关和几根导线,试用以上器材测出未知电阻Rx的值,
(1)画出电路图
(2)请你说出应测量哪些物理量
(3)写Rx的最后表达式。
方法1:
(1)电路图:
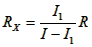
(2)将电流表与R串联,闭合开关S,记下电流表的示数I,再将电流表与Rx串联,闭合开关S,记下电流表的示数Ix
(3)因为电源电压不变,所以有UR = Ux,即IR=IxRx
方法2:
(1)电路图:
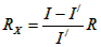
(2)闭合开关S,记下电流表的示数I,断开开关S,记下电流表的示数I';
(3)因电源电压不变,所以IR=l'(Rx+R) 故
方法3 :
(1)电路图:
(2)闭合开关S,记下电流表示数I,则I为电路中总电流,断开开关S,记下电流表示数I1,则I1为通过电阻R的电流,
(3)据并联电路的特点I = I1+Ix得Ix =I-I1,因两电阻并联,所以有I1R = IxRx 即I1R = (I - I1)Rx,故
练习册系列答案
相关习题

科目:初中物理 来源: 题型:阅读理解

(2008?湛江)能源是人类生存和社会繁荣的重要物质基础之一,世界各国为了保护环境并实现经济的持续增长,开发和利用新能源是必然的选择.
(1)我市徐闻县毗邻琼州海峡,风力资源极为丰富,随着广东粤能(集团)有限公司风力发电项目的建设,徐闻将成为广东省最大的风力发电基地.该电站规划前期年发电量为5×108kW?h,这相当于完全燃烧
5.3×107
5.3×107
kg标准煤所放出的能量(煤的热值为3.4×107J/kg).
(2)风力发电站工作时,它是将风能转化为电能,该能源属于
(填“可”或“不可”)再生能源;与火力发电相比,风力发电的优点是
可再生、清洁能源
可再生、清洁能源

(3)某研究小组设计了一种测定风力的装置,其原理如图1所示.金属迎风板与绝缘轻弹簧的一端N相接,一起套在电阻均匀的光滑金属杆上.电路中左端导线与金属杆的M端相连,右端导线接在迎风板的N点,并可随迎风板在金属杆上滑动,导线与金属杆接触良好,电源两端电压不变.现给你一个电压表,请把它接入此装置的电路上,使电压表的示数随风力的增大而增大.此电压表应并联在图中什么位置
并联在R的两端
并联在R的两端


(4)图2为近两个多世纪以来,人类能源消耗情况的示意图.请你分析图中数据,谈谈你最担忧的问题
能源消耗过快,会出现能源危机
能源消耗过快,会出现能源危机
 (谈两点即可);并提出一条日常生活中节约能源的措施
少开机动车,多骑自行车
少开机动车,多骑自行车

查看答案和解析>>

科目:初中物理 来源: 题型:

(2013?天河区一模)小明利用干电池、电压表、电流表、滑动变阻器、开关、导线等器材,测小灯泡阻值.小灯泡的额定电压为2.5V.
(1)在图中连接实物图1,要求滑动变阻器向左滑动时,小灯泡变亮.
(2)小明设计了下面的表格记录数据.移动滑片到某一位置,电压表示数如图2甲所示,请将该示数填在下表中第2次实验①处,通过已知数据计算出对应的电流值并在图乙电流表盘中画出该示数.继续改变滑片的位置,得到多组电压和电流数值如下表所示.
实验次数 l 2 3 4
U/V 1 2 2.5
I/A 0.2 0.28 0.3
R/Ω 5 6.25 7.1 8.3
(3)根据小明的数据表格,小红认为要减少误差,应该把4次实验得出的电阻值求平均值.你认为小红的观点正确吗?请说明理由.
不正确,因为灯丝的电阻随着温度的升高而增大,不是由于实验误差引起的;
不正确,因为灯丝的电阻随着温度的升高而增大,不是由于实验误差引起的;

(4)小红想测量一个未知电阻Rx的阻值,小明给她一个已知阻值的电阻R0、电流表一个、电源、两个开关、足够的导线,利用这些器材进行实验.
①把你设计的电路图画在虚线框内.
②简述实验步骤,并用相应的符号表示测出的物理量.
③用测出的物理量和已知量表示未知电阻的阻值Rx=
I2
I1
R0
I2-I1
I1
R0
I2
I1
R0
I2-I1
I1
R0

查看答案和解析>>

科目:初中物理 来源: 题型:阅读理解

阅读下面材料,回答问题:
现代家庭电器化程度越来越高,各种电器设备的数量急剧增加,但同时也带来了更多的触电事故,因此,用电安全是一个十分突出的问题.人们往往认为:造成触电危害的原因是接触了高压电,实际上触电危害的真正原因是有较大的电流通过人体,而人体的电阻并非固定不变的,最不利时人体的电阻只有不到1000Ω,所以安全用电的原则是:不接触
低压带电体
低压带电体
不靠近
不靠近
高压带电体.
(1)人体发生触电事故,主要是指
D
D

A.人体带了电               B.人体中有电流流过
C.人体上有电压             D.人体中流过的电流超过了一定值
(2)利用学过的知识简单解释为什么电压越高,触电危害就越大?
(3)如图是两幅用电安全的宣传画,请你认真观察后给配上合适的宣传词:
图1:
不要用湿手扳动开关
不要用湿手扳动开关

图2:
家庭电路中不要同时使用几个大功率的用电器
家庭电路中不要同时使用几个大功率的用电器

查看答案和解析>>

科目:初中物理 来源: 题型:阅读理解

请回答下列与家用电器有关的问题.
精英家教网
(1)现有两个额定电压分别为12V和6V,电阻不变的小型电热器.甲同学认为将两个电热器串联后接入18V的电源上就可以使他们正常工作:乙同学认为将两个电热器串联后接入18V的电源上并不能使他们正常工作,请你作出判断并说明理由.
(2)如图a所示为某种型号的电热饮水机的电路图.接通加热开关K,制热指示灯亮,电加热器给贮水箱中的冷水加热.当贮水箱中的水温达到90℃时,停止加热,制热指示灯灭,保温指示灯亮.如此反复,使贮水箱中的水温保持在80℃-90℃之间.如果水温意外超过98℃,其中一个温控器会终止电加热器对贮水箱中的水的加热,并需要通过手动复位后饮水机才会恢复正常,该温控器叫做过热温控器.根据电路图可知,图中温控器
 
为过热温控器(选填“A”或“B”).再加热过程中,温控器A处于
 
状态;温控器B处于
 
状态;在保温阶段,温控器A处于
 
状态,温控器B处于
 
状态(以上均选填“闭合”或“断开”).
(3)上题中的电加热器为“220V,500W”的电热丝,电路中的指示灯为“4V,0.02A”的发光元件,为实现正常指示,电路中的电阻R2
 
(选填大于、等于或小于)R3,其中R2=
 
Ω.
(4)上题中的电热饮水机不能煮沸水.如图b所示,是一种常见的可以煮沸水的电开水壶,电开水壶的容积为1L.如图c所示,是用温度传感器测量得到的电开水壶在加热和冷却过程中温度随时间变化的图线,请利用图线,求加热过程中水吸收热量的功率.
(5)如果给如图b所示的电开水壶加装一个自动加热功率控制器,当电开水壶将水煮沸后自动调整加热功率时水温保持在80℃,请利用图线,求保温时的电加热功率.
精英家教网

查看答案和解析>>

科目:初中物理 来源:2008年广东省湛江市中考物理试卷(解析版) 题型:解答题

能源是人类生存和社会繁荣的重要物质基础之一,世界各国为了保护环境并实现经济的持续增长,开发和利用新能源是必然的选择.
(1)我市徐闻县毗邻琼州海峡,风力资源极为丰富,随着广东粤能(集团)有限公司风力发电项目的建设,徐闻将成为广东省最大的风力发电基地.该电站规划前期年发电量为5×108kW?h,这相当于完全燃烧______kg标准煤所放出的能量(煤的热值为3.4×107J/kg).
(2)风力发电站工作时,它是将风能转化为电能,该能源属于______(填“可”或“不可”)再生能源;与火力发电相比,风力发电的优点是______.
(3)某研究小组设计了一种测定风力的装置,其原理如图1所示.金属迎风板与绝缘轻弹簧的一端N相接,一起套在电阻均匀的光滑金属杆上.电路中左端导线与金属杆的M端相连,右端导线接在迎风板的N点,并可随迎风板在金属杆上滑动,导线与金属杆接触良好,电源两端电压不变.现给你一个电压表,请把它接入此装置的电路上,使电压表的示数随风力的增大而增大.此电压表应并联在图中什么位置______.

(4)图2为近两个多世纪以来,人类能源消耗情况的示意图.请你分析图中数据,谈谈你最担忧的问题______ (谈两点即可);并提出一条日常生活中节约能源的措施______.

查看答案和解析>>

同步练习册答案