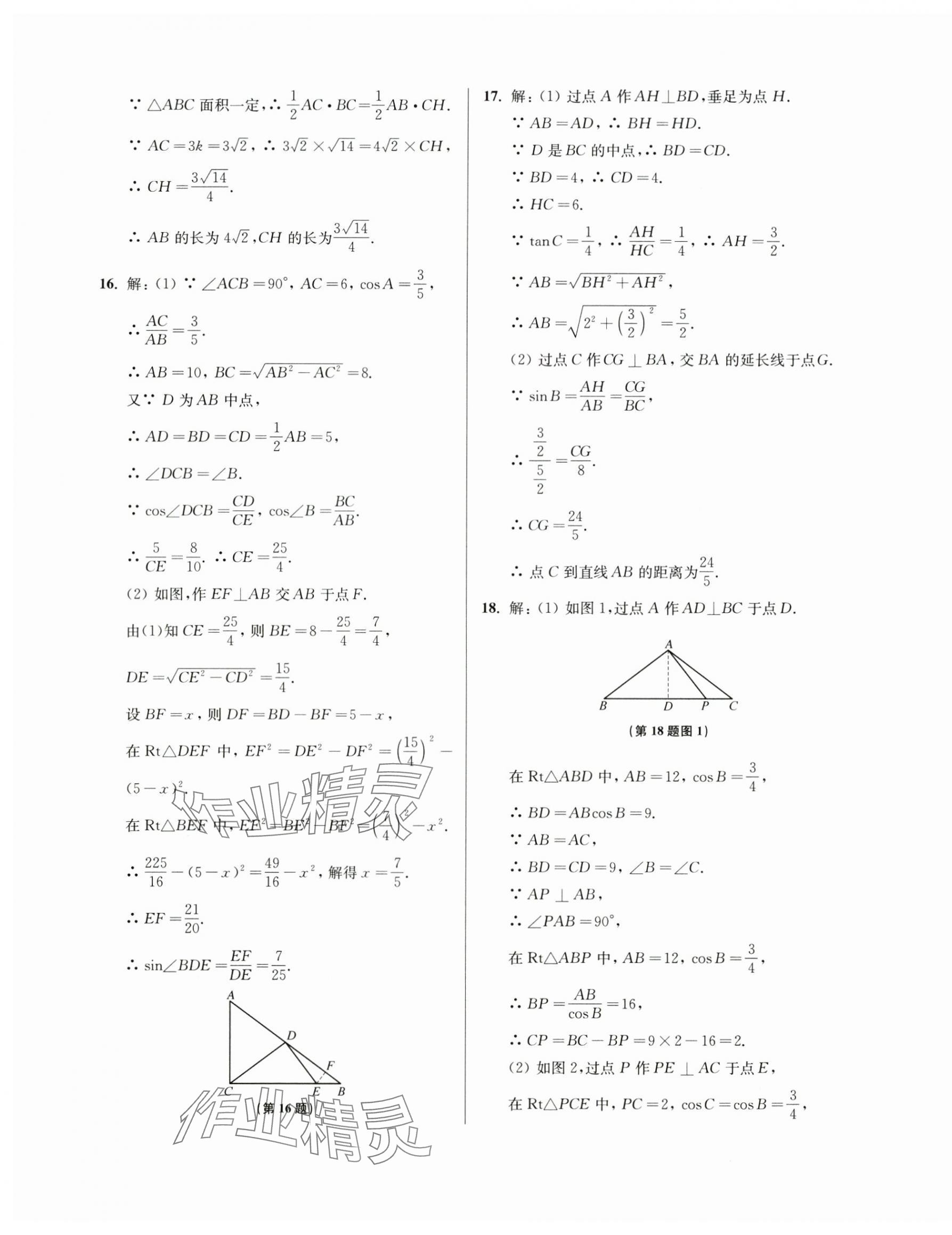
精英家教网> 2025年上海新中考试题分类汇编数学2022~2024一模 > 参考答案第29页 参考答案

2025年上海新中考试题分类汇编数学2022~2024一模

注:目前有些书本章节名称可能整理的还不是很完善,但都是按照顺序排列的,请同学们按照顺序仔细查找。练习册2025年上海新中考试题分类汇编数学2022~2024一模答案主要是用来给同学们做完题方便对答案用的,请勿直接抄袭。

2025年上海新中考试题分类汇编数学2022~2024一模 参考答案第29页