ÏÂÁÐ˵·¨ÕýÈ·µÄÊÇ£¨     £©

A£®³£ÎÂÏ´×Ëá·Ö×Ó²»¿ÉÄÜ´æÔÚÓÚpH>7µÄ¼îÐÔÈÜÒºÖÐ

B£®³£ÎÂÏÂÏòÂÈ»¯ï§ÈÜÒºÖмÓÈëÉÙÁ¿°±Ë®Ê¹ÈÜÒºµÄpH£½7£¬Ôò»ìºÏÈÜÒºÖÐc(Cl£­)>c(NH4£«)

C£®0.1 mol¡¤L£­1µÄÂÈ»¯ï§ÈÜÒºÓë0.05 mol¡¤L£­1µÄÇâÑõ»¯ÄÆÈÜÒºµÈÌå»ý»ìºÏ£¬ÈÜÒºÖÐÀë×ÓŨ¶Èc(Cl£­)>c(NH4£«)>c(Na£«)>c(OH£­)

D£®0.1 mol¡¤L£­1Áò»¯ÄÆÈÜÒºÖÐÀë×ÓŨ¶È¹ØÏµc(OH£­)£½c(H+)£«c(HS£­)£«c(H2S)

Á·Ï°²áϵÁдð°¸
Ïà¹ØÏ°Ìâ

¿ÆÄ¿£º¸ßÖл¯Ñ§ À´Ô´£º ÌâÐÍ£º


ÏÂÁл¯Ñ§ÓÃÓïÕýÈ·µÄÊÇ

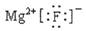
    A£®ÁòÀë×ӵĽṹʾÒâͼ£º                B£®·ú»¯Ã¾µÄµç×Óʽ£º

    C£®¸Ê°±ËáµÄ½á¹¹Ê½£ºC2H5O2N

D£®ÇâÑõ»¯±µµÄµçÀë·½³Ìʽ£ºBa(OH)2£½Ba2++(OH)22-

²é¿´´ð°¸ºÍ½âÎö>>

¿ÆÄ¿£º¸ßÖл¯Ñ§ À´Ô´£º ÌâÐÍ£º


Èç±íÊÇ¢öA×岿·ÖÔªËØµÄÏà¹ØÐÔÖÊ¡£

ÐÔÖÊ\ÔªËØ

8O

16S

34Se

52Te

µ¥ÖÊÈÛµã(¡æ)

£­218.4

113

450

µ¥Öʷеã(¡æ)

£­183

444.6

685

1390

Ö÷Òª»¯ºÏ¼Û

£­2

£­2¡¢£«4¡¢£«6

£­2¡¢£«4¡¢£«6

Ô­×Ó°ë¾¶

Öð½¥Ôö´ó

µ¥ÖÊÓëH2·´Ó¦Çé¿ö

µãȼʱÒ×»¯ºÏ

¼ÓÈÈ»¯ºÏ

¼ÓÈÈÄÑ»¯ºÏ

²»ÄÜÖ±½Ó»¯ºÏ

Çë»Ø´ðÏÂÁÐÎÊÌ⣺

(1)ÎøµÄÈ۵㷶Χ¿ÉÄÜÊÇ                       ¡£  

(2)íڵϝºÏ¼Û¿ÉÄÜÓР                      ¡£

(3)Áò¡¢Îø×î¸ß¼ÛÑõ»¯Îï¶ÔӦˮ»¯ÎïµÄËáÐÔÇ¿Èõ˳ÐòÊÇ

                                                    (Ìѧʽ)¡£

(4)ÇâÎøËáÓнÏÇ¿µÄ________(Ìî¡°Ñõ»¯ÐÔ¡±»ò¡°»¹Ô­ÐÔ¡±)£¬Òò´Ë·ÅÔÚ¿ÕÆøÖÐÒ×±äÖÊ£¬Æä¿ÉÄÜ

·¢Éú·´Ó¦µÄ»¯Ñ§·½³ÌʽΪ                                 ¡£

(5)¹¤ÒµÉÏAl2Te3¿ÉÓÃÀ´ÖƱ¸H2Te£¬Íê³ÉÏÂÁл¯Ñ§·½³Ìʽ¡£

Al2Te3£«(¡¡   ¡¡)===2Al(OH)3¡ý£«____H2Te¡ü

²é¿´´ð°¸ºÍ½âÎö>>

¿ÆÄ¿£º¸ßÖл¯Ñ§ À´Ô´£º ÌâÐÍ£º


ÏÂÁи÷×éÎïÖÊÖУ¬»¯Ñ§¼üµÄÀàÐÍÏàͬµÄÊÇ(¡¡¡¡)

A£®CaCl2ºÍNa2S¡¡¡¡B£®Na2OºÍNa2O2    C£®N2ºÍNe  D£®HClºÍNaOH

²é¿´´ð°¸ºÍ½âÎö>>

¿ÆÄ¿£º¸ßÖл¯Ñ§ À´Ô´£º ÌâÐÍ£º


ʵÑé̽¾¿£ºÌ½¾¿Ì¼¡¢¹èÔªËØµÄ·Ç½ðÊôÐÔµÄÏà¶ÔÇ¿Èõ
¸ù¾ÝÒªÇóÍê³ÉÏÂÁи÷СÌâ
£¨1£©ÊµÑé×°Öãº

ÌîдËùʾÒÇÆ÷Ãû³ÆA             B            
£¨2£©ÊµÑé²½Ö裺

Á¬½ÓÒÇÆ÷¡¢_____________¡¢¼ÓÒ©Æ·ºó£¬´ò¿ªa¡¢È»ºóµÎÈëŨÁòËᣬ¼ÓÈÈ

£¨3£©ÎÊÌâ̽¾¿£º£¨ÒÑÖªËáÐÔÇ¿Èõ:ÑÇÁòËá >̼Ëᣩ
¢ÙÍ­ÓëŨÁòËá·´Ó¦µÄ»¯Ñ§·½³ÌʽÊÇ                     £»
×°ÖÃEÖÐ×ãÁ¿ËáÐÔKMnO4ÈÜÒºµÄ×÷ÓÃÊÇ              £»
¢ÚÄÜ˵Ã÷Ì¼ÔªËØµÄ·Ç½ðÊôÐԱȹèÔªËØ·Ç½ðÊôÐÔÇ¿µÄʵÑéÏÖÏóÊÇ          £»
¢ÛÒÀ¾ÝÊÔ¹ÜDÖеÄʵÑéÏÖÏó£¬ÄÜ·ñÖ¤Ã÷ÁòÔªËØµÄ·Ç½ðÊôÐÔÇ¿ÓÚÌ¼ÔªËØµÄ·Ç½ðÊôÐÔ___£¨Ìî¡°ÄÜ¡±»ò¡°·ñ¡±£©£¬ÊÔ¹ÜDÖз¢Éú·´Ó¦µÄÀë×Ó·½³ÌʽÊÇ                        

²é¿´´ð°¸ºÍ½âÎö>>

¿ÆÄ¿£º¸ßÖл¯Ñ§ À´Ô´£º ÌâÐÍ£º


άÉúËØCµÄ½á¹¹¼òʽΪ ÓйØËüµÄÐðÊö´íÎóµÄÊÇ ( )

A.ÊÇÒ»¸ö»·×´µÄõ¥À໯ºÏÎï B.ÔÚ¼îÐÔÈÜÒºÖÐÄÜÎȶ¨µØ´æÔÚ

C.ÈÝÒ×ÈܽâÓÚÒÒ´¼ ¡¡D.ÒׯðÑõ»¯¼°¼Ó³É·´Ó¦

²é¿´´ð°¸ºÍ½âÎö>>

¿ÆÄ¿£º¸ßÖл¯Ñ§ À´Ô´£º ÌâÐÍ£º


ÏÂÁл¯Ñ§ÓÃÓïµÄÀí½âÕýÈ·µÄÊÇ ( )

A£®29CuµÄ¼Ûµç×ÓÅŲ¼Ê½Îª3d94s2

B£® HClOµÄ½á¹¹Ê½£ºH¡ªCl-O

C£®±ÈÀýÄ£ÐÍ £¬¿ÉÒÔͬʱ±íʾCH4ºÍCCl4·Ö×Ó

D£®1s22s22p3 ºÍ 1s22s22p4ÄÜÐγÉAB2Ð͹²¼Û»¯ºÏÎï

²é¿´´ð°¸ºÍ½âÎö>>

¿ÆÄ¿£º¸ßÖл¯Ñ§ À´Ô´£º ÌâÐÍ£º


X¡¢Y¡¢Z¡¢WËÄÖÖ³£¼ûÔªËØ£¬ÆäÖÐX¡¢Y¡¢ZΪ¶ÌÖÜÆÚÔªËØ¡£ÓйØÐÅÏ¢ÈçÏÂ±í£º

Ô­×Ó»ò·Ö×ÓÏà¹ØÐÅÏ¢

µ¥Öʼ°Æä»¯ºÏÎïÏà¹ØÐÅÏ¢

X

ZX4·Ö×ÓÊÇÓÉ´ÖZÌá´¿ZµÄÖмä²úÎï

XµÄ×î¸ß¼ÛÑõ»¯Îï¶ÔÓ¦µÄË®»¯ÎïΪÎÞ»úËáÖÐ×îÇ¿Ëá

Y

YÔ­×ÓµÄ×îÍâ²ãµç×ÓÊýµÈÓÚµç×Ó²ãÊý

YµÄÑõ»¯ÎïÊǵäÐ͵ÄÁ½ÐÔÑõ»¯Î¿ÉÓÃÓÚÖÆÔìÒ»ÖÖ¼«ÓÐǰ;µÄ¸ßβÄÁÏ

Z

ZÔ­×ÓµÄ×îÍâ²ãµç×ÓÊýÊÇ´ÎÍâ²ãµç×ÓÊýµÄ1/2

ZÊÇÎÞ»ú·Ç½ðÊô²ÄÁϵÄÖ÷½Ç£¬Æäµ¥ÖÊÊÇÖÆÈ¡´ó¹æÄ£¼¯³Éµç·µÄÖ÷ÒªÔ­ÁÏ

W

WÔ­×ÓµÄ×îÍâ²ãµç×ÓÊýСÓÚ4

WµÄ³£¼û»¯ºÏ¼ÛÓÐ+3¡¢+2£¬WX3Ï¡ÈÜÒº³Ê»ÆÉ«

£¨1£©WÔÚÖÜÆÚ±íµÄλÖÃΪ         £¬W£¨OH£©2ÔÚ¿ÕÆøÖв»Îȶ¨£¬¼«Ò×±»Ñõ»¯£¬Óɰ×ɫѸËÙ±ä³É»ÒÂÌÉ«£¬×îºó±ä³ÉºìºÖÉ«£¬·´Ó¦µÄ»¯Ñ§·½³ÌʽΪ                       ¡£

£¨2£©XµÄ¼òµ¥ÒõÀë×ӵĽṹʾÒâͼΪ         £¬XµÄ×î¸ß¼ÛÑõ»¯Îï¶ÔӦˮ»¯ÎïµÄË®ÈÜÒºÓëYµÄÑõ»¯Îï·´Ó¦µÄÀë×Ó·½³ÌʽΪ               ¡£

£¨3£©ZµÄÑõ»¯ÎïÔÚͨѶÁìÓòÓÃÀ´×÷              £¬¹¤ÒµÉÏÖÆ±¸ZµÄµ¥ÖʵĻ¯Ñ§·´Ó¦·½³ÌʽΪ                                     ¡£

    ÕàÓëZÊÇͬһÖ÷×åÔªËØ£¬ÃŽÝÁзòÔøÔ¤ÑÔÁËÕâÒ»ÔªËØµÄ´æÔÚ£¬ËüÓÃÀ´ÖÆÔì°ëµ¼Ìå¾§Ìå¹Ü£¬×îÐÂÑо¿±íÃ÷£ºÓлúÕà¾ßÓÐÃ÷ÏԵĿ¹Ö×Áö»îÐÔ£¬Õ಻ÓëNaOH ÈÜÒº·´Ó¦µ«ÔÚÓÐH2O2 ´æÔÚʱ¿ÉÓëNaOH ÈÜÒº·´Ó¦Éú³ÉÕàËáÑΣ¬Æä·½³ÌʽΪ                  ¡£

£¨4£©ÔÚ50 mL l mol·L-1µÄYX3ÈÜÒºÖÐÖðµÎ¼ÓÈë0£®5 mol·L-1µÄNaOHÈÜÒº£¬µÃµ½1£®56 g³Áµí£¬Ôò¼ÓÈëNaOHÈÜÒºµÄÌå»ý¿ÉÄÜ   ÖÖÇé¿ö£¨ÌîÒ»»ò¶þ£©¡£

²é¿´´ð°¸ºÍ½âÎö>>

¿ÆÄ¿£º¸ßÖл¯Ñ§ À´Ô´£º ÌâÐÍ£º


ÏÂÁÐÀë×ÓÔÚÈÜÒºÖÐÄÜ´óÁ¿¹²´æµÄÊÇ£¨ £©¡£

A. Na+¡¢CO32—¡¢SO42—¡¢H+                B. K+¡¢AlO2¡¢H+¡¢Cl

C. Fe3+¡¢K+¡¢OH¡¢NO3                 D. Al3+¡¢H+¡¢NO3¡¢SO42—

²é¿´´ð°¸ºÍ½âÎö>>

ͬ²½Á·Ï°²á´ð°¸