´Óº¬Ã¾¡¢¼ØÑκþË®ÖÐÕô·¢×îºóµÃµ½²úÎïÖк¬¹â±ʯ(xKCl¡¤yMgCl2¡¤zH2O)£¬ËüÊÇÖÆÔì¼Ø·ÊºÍÌáÈ¡½ðÊôþµÄÖØÒªÔ­ÁÏ£¬Æä×é³É¿Éͨ¹ýÏÂÁÐʵÑé²â¶¨£º

¢Ù׼ȷ³ÆÈ¡5.550gÑùÆ·ÈÜÓÚË®£¬Åä³É100.0mLÈÜÒº¡£

¢Ú½«ÈÜÒº·Ö³É¶þµÈ·Ý£¬ÔÚÒ»·ÝÖмÓÈë×ãÁ¿µÄNaOHÈÜÒºÖÁ³ÁµíÍêÈ«£¬¹ýÂË¡¢Ï´µÓ¡¢¸É

ÔïÖÁºãÖØ£¬µÃµ½°×É«¹ÌÌå0.580g¡£

¢ÛÔÚÁíÒ»·ÝÈÜÒºÖмÓÈë×ãÁ¿µÄÏõËáËữµÄAgNO3ÈÜÒºÖÁ³ÁµíÍêÈ«£¬¹ýÂË¡¢Ï´µÓ¡¢¸ÉÔï

ÖÁºãÖØ£¬µÃµ½°×É«¹ÌÌå4.305g¡£

£¨1£©²½Öè¢ÚÖмìÑé°×É«¹ÌÌåÒÑÏ´¾»µÄ·½·¨ÊÇ£º          ¡£

£¨2£©ÒÑ֪ijζÈÏÂMg(OH)2µÄKsp£½6.4¡Ál012£¬µ±ÈÜÒºÖÐc(Mg2+)¡Ü1.0¡Á105mol¡¤L1¿ÉÊÓΪ³ÁµíÍêÈ«£¬Ôò´ËζÈÏÂÓ¦±£³ÖÈÜÒºÖÐc(OH£­)¡Ý           mol¡¤L1¡£

£¨3£©Í¨¹ý¼ÆËãÈ·¶¨ÑùÆ·µÄ×é³É£¨Ð´³ö¼ÆËã¹ý³Ì£©¡£

 

¡¾´ð°¸¡¿

 

£¨1£©È¡×îºóµÄÏ´µÓÒº£¬µÎ¼ÓAgNO3ÈÜÒº£¬Èô²»²úÉú³Áµí£¬ÔòÒÑÏ´¾»£¨2·Ö£©¡£

£¨2£©8¡Á10¡ª4£¨2·Ö£©

£¨3£©5.550gÑùÆ·Öк¬£º

 

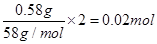
n(Mg2+)£½   n(MgCl2)£½0.02mol   £¨2·Ö£©

 

n(Cl¡ª)£½                             

n(KCl)£½0.06mol£­2¡Á0.02mol£½0.02mol   £¨2·Ö£©

 

n(H2O)£½

ÑùÆ·ÖÐn(KCl)¡Ãn(MgCl2)¡Ãn(H2O) £½1¡Ã1¡Ã6

¹â±ʯµÄ»¯Ñ§Ê½Îª£ºKCl¡¤MgCl2¡¤6H2O    £¨1·Ö£©

¡¾½âÎö¡¿

ÊÔÌâ·ÖÎö£º£¨1£©ÊµÑéÖÐÏ´µÓÊÇÔÚ¹ýÂ˺óÔÚ¹ýÂËÆ÷ÖнøÐУ¬¹ÊӦȥ×îºóÒ»´ÎµÄÏ´µÓÒº¼ìÑ飺ȡ×îºóµÄÏ´µÓÒº£¬µÎ¼ÓAgNO3ÈÜÒº£¬Èô²»²úÉú³Áµí£¬ÔòÒÑÏ´¾»£»£¨2£©Ö±½Ó¸ù¾ÝÈܶȻý¹ØÏµÊ½¼ÆË㣻

£¨3£©µÚÒ»²½ÊµÑ鼯ËãþÀë×ÓµÄÁ¿

n(Mg2+)= n(MgCl2)£½0.02mol   £¨2·Ö£©

µÚ¶þ²½ÊµÑ鼯ËãÂÈÀë×ÓµÄÁ¿n(Cl¡ª)=  

È»ºó¸ù¾ÝµçºÉÊØºã¼ÆËã¼ØÀë×ÓµÄÁ¿£¬n(KCl)£½0.06mol£­2¡Á0.02mol£½0.02mol  

×îºó¸ù¾ÝÖÊÁ¿¹ØÏµÈ·¶¨Ë®µÄÁ¿£¬

n(H2O)£½

¸ù¾Ý¸÷ÎïÖʵÄÁ¿µÄ±ÈÖµµÃ³ö»¯Ñ§Ê½¡£ÑùÆ·ÖÐn(KCl)¡Ãn(MgCl2)¡Ãn(H2O) £½1¡Ã1¡Ã6

¹â±ʯµÄ»¯Ñ§Ê½Îª£ºKCl¡¤MgCl2¡¤6H2O

¿¼µã£º¿¼²éÓйØÎïÖÊ×é³ÉµÄ¼ÆËãÓйØÎÊÌâ¡£

 

Á·Ï°²áϵÁдð°¸
Ïà¹ØÏ°Ìâ

¿ÆÄ¿£º¸ßÖл¯Ñ§ À´Ô´£º ÌâÐÍ£ºÔĶÁÀí½â

£¨Ò»£©ÏÂÁÐʵÑé²Ù×÷ÖÐÕýÈ·µÄÊÇ£¨ÌîдÐòºÅ£©
BCG
BCG
£®
A£®Õô·¢²Ù×÷ʱ£¬´ýÕô·¢ÃóÖеÄË®·ÖÍêÈ«Õô¸ÉºóÔÙÍ£Ö¹¼ÓÈÈ
B£®·ÖÒº²Ù×÷ʱ£¬·ÖҺ©¶·ÖÐϲãÒºÌå´ÓÏ¿ڷųö£¬ÉϲãÒºÌå´ÓÉϿڵ¹³ö
C£®ÕôÁó²Ù×÷ʱ£¬Ó¦Ê¹Î¶ȼÆË®ÒøÇò¿¿½üÕôÁóÉÕÆ¿µÄÖ§¹Ü¿Ú´¦
D£®°ÑÇâÑõ»¯ÄƹÌÌå·ÅÔÚÍÐÅÌÌìÆ½×óÅ̵ÄÂËÖ½ÉϳÆÁ¿
E£®¹ýÂ˲Ù×÷ÖУ¬ÎªÁ˼ӿì¹ýÂË¿ÉÓò£Á§°ôÔÚ©¶·ÖÐÇáÇá½Á°è
F£®ÅäÖÆÈÜҺʱ£¬ÎªÁË׼ȷ£¬ÈܽâºóÓ¦Á¢¼´½«ÈÜ񼄯²£Á§°ôÒýÁ÷×ªÒÆÖÁÈÝÁ¿Æ¿ÄÚ
G£®Îª¼ÓËÙ¹ÌÌåÎïÖʵÄÈܽâ¿É²ÉÓ÷ÛËé¡¢Õñµ´¡¢½Á°è¡¢¼ÓÈȵȷ½·¨
£¨¶þ£©º£ÑóÖ²ÎïÈ纣´ø¡¢º£ÔåÖк¬ÓдóÁ¿µÄµâÔªËØ£¬µâÔªËØÒÔµâÀë×ÓµÄÐÎʽ´æÔÚ£®ÊµÑéÊÒÀï´Óº£ÔåÖÐÌáÈ¡µâµÄÁ÷³ÌÈçͼ£º

£¨1£©Ö¸³öÌáÈ¡µâµÄ¹ý³ÌÖÐÓйصÄʵÑé²Ù×÷Ãû³Æ£º¢Ù
¹ýÂË
¹ýÂË
£¬¢Û
ÝÍÈ¡
ÝÍÈ¡
£»
£¨2£©ÌáÈ¡µâµÄ¹ý³ÌÖУ¬¿É¹©Ñ¡ÔñµÄÓлúÊÔ¼ÁÊÇ
B
B
£®
A£®±½¡¢¾Æ¾«   B£®ËÄÂÈ»¯Ì¼¡¢±½   C£®ÆûÓÍ¡¢¾Æ¾«  D£®ÆûÓÍ¡¢ÇâÑõ»¯ÄÆÈÜÒº
£¨3£©ÎªÊ¹º£Ôå»ÒÖеâÀë×Óת»¯ÎªµâµÄÓлúÈÜÒº£¬ÊµÑéÊÒÓÐÉÕ±­¡¢²£Á§°ô¡¢¼¯ÆøÆ¿¡¢¾Æ¾«µÆ¡¢µ¼¹Ü¡¢Ô²µ×ÉÕÆ¿¡¢Ê¯ÃÞÍøÒÔ¼°±ØÒªµÄ¼Ð³ÖÒÇÆ÷¡¢ÎïÆ·£¬ÉÐȱÉٵIJ£Á§ÒÇÆ÷ÓÐ
ÆÕͨ©¶·
ÆÕͨ©¶·
¡¢
·ÖҺ©¶·
·ÖҺ©¶·
£®
£¨4£©´Óº¬µâµÄÓлúÈÜÒºÖÐÌáÈ¡µâºÍ»ØÊÕÓлúÈܼÁ£¬»¹Ðë¾­¹ýÕôÁó£¬Ö¸³öʵÑé×°ÖÃͼÖеĴíÎóÖ®´¦£º

¢Ù
ȱʯÃÞÍø£»
ȱʯÃÞÍø£»
£»
¢Ú
ζȼƲ嵽ÁËÒºÌåÖÐ
ζȼƲ嵽ÁËÒºÌåÖÐ
£»
¢Û
ÀäÄý¹Ü½ø³öË®µÄ·½Ïòµßµ¹
ÀäÄý¹Ü½ø³öË®µÄ·½Ïòµßµ¹
£®
£¨5£©½øÐÐÉÏÊöÕôÁó²Ù×÷ʱ£¬Ê¹ÓÃˮԡ¼ÓÈȵÄÔ­ÒòÊÇ£º
ÊÜÈȱȽϾùÔÈ£¬Î¶ÈÈÝÒ׿ØÖÆ
ÊÜÈȱȽϾùÔÈ£¬Î¶ÈÈÝÒ׿ØÖÆ
£¬×îºó¾§Ì¬µâÔÚ
ÕôÁóÉÕÆ¿
ÕôÁóÉÕÆ¿
Àï¾Û¼¯£®

²é¿´´ð°¸ºÍ½âÎö>>

¿ÆÄ¿£º¸ßÖл¯Ñ§ À´Ô´£º ÌâÐÍ£º

£¨2013?ÎÞÎýһ죩´Óº¬Ã¾¡¢¼ØÑκþË®ÖÐÕô·¢×îºóµÃµ½µÄ²úÎïÖк¬¹â±ʯ£¨xKCl?yMgCl2?zH2O£©£¬ËüÔÚ¿ÕÆøÖм«Ò׳±½â¡¢Ò×ÈÜÓÚË®£¬ÊÇÖÆÔì¼Ø·ÊºÍÌáÈ¡½ðÊôþµÄÖØÒªÔ­ÁÏ£¬Æä×é³É¿Éͨ¹ýÏÂÁÐʵÑé²â¶¨£º
¢Ù׼ȷ³ÆÈ¡5.550gÑùÆ·ÈÜÓÚË®£¬Åä³É100mLÈÜÒº£®
¢Ú½«ÈÜÒº·Ö³ÉÁ½µÈ·Ý£¬ÔÚÒ»·ÝÖмÓÈë×ãÁ¿µÄNaOHÈÜÒºÖÁ³ÁµíÍêÈ«£¬¹ýÂË¡¢Ï´µÓ¡¢¸ÉÔïÖÁºãÖØ£¬µÃµ½°×É«¹ÌÌå0.580g£®
¢ÛÔÚÁíÒ»·ÝÈÜÒºÖмÓÈë×ãÁ¿µÄÏõËáËữµÄAgNO3ÈÜÒºÖÁ³ÁµíÍêÈ«£¬¹ýÂË¡¢Ï´µÓ¡¢¸ÉÔïÖÁºãÖØ£¬µÃµ½°×É«¹ÌÌå4.305g£®
£¨1£©²½Öè¢ÚÖмìÑé°×É«¹ÌÌåÒÑÏ´¾»µÄ·½·¨ÊÇ
È¡×îºóµÄÏ´µÓÒº£¬µÎ¼ÓAgNO3ÈÜÒº£¬Èô²»²úÉú³Áµí£¬ÔòÒÑÏ´¾»
È¡×îºóµÄÏ´µÓÒº£¬µÎ¼ÓAgNO3ÈÜÒº£¬Èô²»²úÉú³Áµí£¬ÔòÒÑÏ´¾»
£®
£¨2£©ÒÑ֪ijζÈÏÂMg£¨OH£©2µÄKsp=6.4¡Á10-12£¬µ±ÈÜÒºÖÐc£¨Mg2+£©¡Ü1.0¡Á10-5mol?L-1¿ÉÊÓΪ³ÁµíÍêÈ«£¬ÔòÓ¦±£³ÖÈÜÒºÖÐc£¨OH-£©¡Ý
8¡Á10-4
8¡Á10-4
mol?L-1
£¨3£©Í¨¹ý¼ÆËãÈ·¶¨ÑùÆ·µÄ×é³É£¨Ð´³ö¼ÆËã¹ý³Ì£©£®

²é¿´´ð°¸ºÍ½âÎö>>

¿ÆÄ¿£º¸ßÖл¯Ñ§ À´Ô´£º2012-2013ѧÄê½­ËÕÊ¡ÎÞÎýÊиßÈýÉÏѧÆÚÆÚÄ©¿¼ÊÔ»¯Ñ§ÊÔ¾í£¨½âÎö°æ£© ÌâÐÍ£ºÊµÑéÌâ

´Óº¬Ã¾¡¢¼ØÑκþË®ÖÐÕô·¢×îºóµÃµ½µÄ²úÎïÖк¬¹â±ʯ(xKCl¡¤yMgCl2¡¤zH2O)£¬ËüÔÚ¿ÕÆøÖм«Ò׳±½â¡¢Ò×ÈÜÓÚË®£¬ÊÇÖÆÔì¼Ø·ÊºÍÌáÈ¡½ðÊôþµÄÖØÒªÔ­ÁÏ£¬Æä×é³É¿Éͨ¹ýÏÂÁÐʵÑé²â¶¨£º¢Ù׼ȷ³ÆÈ¡5. 550gÑùÆ·ÈÜÓÚË®£¬Åä³Él00mLÈÜÒº¡£¢Ú½«ÈÜÒº·Ö³É¶þµÈ·Ý£¬ÔÚÒ»·ÝÖмÓÈë×ãÁ¿µÄNaOHÈÜÒºÖÁ³ÁµíÍêÈ«£¬¹ýÂË¡¢Ï´µÓ¡¢¸ÉÔïÖÁºãÖØ£¬µÃµ½°×É«¹ÌÌå0. 580g¡£¢ÛÔÚÁíÒ»·ÝÈÜÒºÖмÓÈë×ãÁ¿µÄÏõËáËữµÄAgNO3ÈÜÒºÖÁ³ÁµíÍêÈ«£¬¹ýÂË¡¢Ï´µÓ¡¢¸ÉÔïÖÁºãÖØ£¬µÃµ½°×É«¹ÌÌå4.305g¡£

£¨1£©²½Öè¢ÚÖмìÑé°×É«¹ÌÌåÒÑÏ´¾»µÄ·½·¨ÊÇ                 ¡£

£¨2£©ÒÑ֪ijζÈÏÂMg( OH)2µÄKsp =6.4 xl0£­12£¬µ±ÈÜÒºÖÐc(Mg2+)¡Ü1.0¡Á10 £­5mol¡¤L£­1¿ÉÊÓΪ³ÁµíÍêÈ«£¬ÔòÓ¦±£³ÖÈÜÒºÖÐc£¨OH£­£©¡Ý                 mol¡¤L£­1¡£

£¨3£©Í¨¹ý¼ÆËãÈ·¶¨ÑùÆ·µÄ×é³É£¨Ð´³ö¼ÆËã¹ý³Ì£©¡£

 

²é¿´´ð°¸ºÍ½âÎö>>

¿ÆÄ¿£º¸ßÖл¯Ñ§ À´Ô´£º ÌâÐÍ£º

´Óº¬Ã¾¡¢¼ØÑκþË®ÖÐÕô·¢×îºóµÃµ½µÄ²úÎïÖк¬¹â±ʯ(xKCl¡¤yMgCl2¡¤zH2O)£¬ËüÔÚ¿ÕÆøÖм«Ò׳±½â¡¢Ò×ÈÜÓÚË®£¬ÊÇÖÆÔì¼Ø·ÊºÍÌáÈ¡½ðÊôþµÄÖØÒªÔ­ÁÏ£¬Æä×é³É¿Éͨ¹ýÏÂÁÐʵÑé²â¶¨£º

¢Ù׼ȷ³ÆÈ¡5. 550gÑùÆ·ÈÜÓÚË®£¬Åä³Él00mLÈÜÒº¡£

¢Ú½«ÈÜÒº·Ö³É¶þµÈ·Ý£¬ÔÚÒ»·ÝÖмÓÈë×ãÁ¿µÄNaOHÈÜÒºÖÁ³ÁµíÍêÈ«£¬¹ýÂË¡¢Ï´µÓ¡¢¸ÉÔïÖÁºãÖØ£¬µÃµ½°×É«¹ÌÌå0. 580g¡£

¢ÛÔÚÁíÒ»·ÝÈÜÒºÖмÓÈë×ãÁ¿µÄÏõËáËữµÄAgNO3ÈÜÒºÖÁ³ÁµíÍêÈ«£¬¹ýÂË¡¢Ï´µÓ¡¢¸ÉÔïÖÁºãÖØ£¬µÃµ½°×É«¹ÌÌå4.305g¡£

£¨1£©²½Öè¢ÚÖмìÑé°×É«¹ÌÌåÒÑÏ´¾»µÄ·½·¨ÊÇ    ¡ø             ¡£

£¨2£©ÒÑ֪ijζÈÏÂMg(OH)2µÄKsp =6.4 ¡Ál0£­12£¬µ±ÈÜÒºÖÐc(Mg2+)¡Ü1.0¡Á10 £­5mol¡¤L£­1¿ÉÊÓΪ³ÁµíÍêÈ«£¬ÔòÓ¦±£³ÖÈÜÒºÖÐc£¨OH£­£©¡Ý       ¡ø          mol¡¤L£­1¡£

£¨3£©Í¨¹ý¼ÆËãÈ·¶¨ÑùÆ·µÄ×é³É£¨Ð´³ö¼ÆËã¹ý³Ì£©¡£

²é¿´´ð°¸ºÍ½âÎö>>

ͬ²½Á·Ï°²á´ð°¸