精英家教网 > 高中化学 > 题目详情

【题目】已知25℃时,CaSO4在水中的沉淀溶解平衡曲线,如图所示,向100mL该条件下的CaSO4饱和溶液中,加入400mL 0.01mol/L的Na2SO4溶液,针对此过程的下列叙述正确的是(
A.溶液中析出CaSO4沉淀,最终溶液中c(SO )较原来大
B.溶液中无沉淀析出,溶液中c(Ca2+)、c(SO )都变小
C.溶液中析出CaSO4沉淀,溶液中c(Ca2+)、c(SO )都变小
D.溶液中无沉淀析出,但最终溶液中c(SO )较原来大

【答案】D
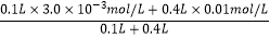
【解析】解:由图示可知,在该条件下,CaSO4饱和溶液中,c(Ca2+)=c( SO42)=3.0×10﹣3 mol/L,Ksp(CaSO4)=9.0×10﹣6 . 当向100 mL该条件下的CaSO4饱和溶液中加入400 mL 0.01 mol/L的Na2SO4溶液后,混合液中c(Ca2+)= =6.0×10﹣4 mol/L,c(SO42)= =8.6×10﹣3 mol/L,溶液中c(Ca2+)c( SO42 )=5.16×10﹣6<Ksp(CaSO4)=9.0×10﹣6 , 所以混合液中无沉淀析出,最终溶液中硫酸根离子浓度增大;故选D.

练习册系列答案
相关习题

科目:高中化学 来源: 题型:

【题目】下列说法正确的是

A.常温下,铝片与浓硝酸不反应

B.Fe(OH)2是灰绿色的难溶固体

C.用激光笔照射胶体可产生丁达尔效应

D.标准状况下,22.4L CCl4中含有的分子数为6.02×1023

查看答案和解析>>

科目:高中化学 来源: 题型:

【题目】下列反应中,Na2O2只表现强氧化性的是

A. 2Na2O2 + 2CO22Na2CO3 + O2

B. Na2O2 + MnO2 =Na2MnO4

C. 5Na2O2 + 2MnO+ 16H+ = 10Na+ + 2Mn2+ + 5O2↑ + 8H2O

D. 2Na2O2 + 2H2SO4 = 2Na2SO4 +2H2O + O2

查看答案和解析>>

科目:高中化学 来源: 题型:

【题目】在透明溶液中能大量共存的是

A. H+、K+、NO3-、HCO3- B. Na+、Fe3+、K+、Cl-

C. Ca2+、H+、NO3-、CO32- D. Cu2+、Na+、OH-、SO42-

查看答案和解析>>

科目:高中化学 来源: 题型:

【题目】某溶液可能含有Na、Ca2+、NO、CO、SO、Cl等离子。为了鉴别这些离子,分别取少量溶液进行以下实验:

①加稀盐酸后,生成无色无味的气体,该气体能使澄清石灰水变浑浊。

②加足量的BaCl2产生白色沉淀,过滤,在沉淀中加入足量的盐酸,沉淀不能完全溶解。

③取②中滤液,加硝酸酸化后,再加过量的AgNO3溶液,析出白色沉淀。

(1)上述3个实验证明一定存在的离子是__________,一定不存在的离子是________,可能存在的离子为_______________

(2)写出①中涉及反应的离子反应方程式: _____________________________

(3)实验室中常用于检验Na是否存在的方法叫___________________

查看答案和解析>>

科目:高中化学 来源: 题型:

【题目】下列说法正确的是

A. COC2H4的摩尔质量均是28g B. 18g水中含有1 mol水分子

C. O2的相对分子质量是32 g·mol-1 D. l molNO的质量是30 g·mol-1

查看答案和解析>>

科目:高中化学 来源: 题型:

【题目】某有机物结构简式为 ,下列说法中正确的是(
A.该分子中所有的碳原子均可能处于同一平面上
B.该分子中一定共面的碳原子数至少为8个
C.该分子中至少有9个碳原子处于同一条直线上
D.该分子中可能共面的碳原子数最多为13个

查看答案和解析>>

科目:高中化学 来源: 题型:

【题目】下列有关物质用途的说法错误的是(
A.氢氧化铁胶体可用于净水
B.Fe2O3可用作红色涂料
C.纯碱溶液可用于去除油污
D.MnO2和浓HCl可用于工业制氯气

查看答案和解析>>

科目:高中化学 来源: 题型:

【题目】已知某温度下CH3COOH和NH3H2O的电离常数相等,现向10mL浓度为0.1molL﹣1的CH3COOH溶液中滴加相同浓度的氨水,在滴加过程中(
A.水的电离程度始终增大
B. 先增大再减小
C.c(CH3COOH)与c(CH3COO)之和始终保持不变
D.当加入氨水的体积为10mL时,c(NH4+)=c(CH3COO

查看答案和解析>>

同步练习册答案