精英家教网 > 高中化学 > 题目详情

用足量的CO还原32.0g某种氧化物,将生成的气体通入足量澄清石灰水中,得到60g沉淀,则该氧化物是

[  ]

A.FeO

B.

C.CuO

D.

答案:B
解析:

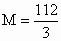
设氧化物为

整理得

讨论x=1(不合题意,舍去)

x=2(不合题意,舍去)

x=3M=56,氧化物为


练习册系列答案
相关习题

科目:高中化学 来源: 题型:

用足量的CO还原32.0g某种氧化物,将生成的气体通入足量澄清石灰水中,得到60g沉淀,则该氧化物是(  )

查看答案和解析>>

科目:高中化学 来源: 题型:

用足量的CO还原32.0 g某种氧化物,将生成的气体通入足量澄清石灰水中,得到60.0 g沉淀,则该氧化物是(    )

A.FeO              B.Fe2O3                  C.CuO               D.Cu2O

查看答案和解析>>

科目:高中化学 来源: 题型:

用足量的CO还原32.0 g某种氧化物,将生成的气体通入足量澄清石灰水中,得到60 g沉淀,则该氧化物是

A.FeO              B.Fe2O3                 C.CaO           D.Cu2O

查看答案和解析>>

科目:高中化学 来源:2011-2012学年天津市蓟县一中高一第二次月考化学试卷 题型:单选题

用足量的CO还原32.0g某种氧化物,将生成的气体通入足量澄清石灰水中,得到60g沉淀,则该氧化物是

A.FeOB.Fe2O3C.CuOD.Cu2O

查看答案和解析>>

科目:高中化学 来源: 题型:单选题

用足量的CO还原32.0 g某种氧化物,将生成的气体通入足量澄清石灰水中,得到60 g沉淀,则该氧化物是


  1. A.
    FeO
  2. B.
    Fe2O3
  3. C.
    CaO
  4. D.
    Cu2O

查看答案和解析>>

同步练习册答案