精英家教网 > 高中数学 > 题目详情

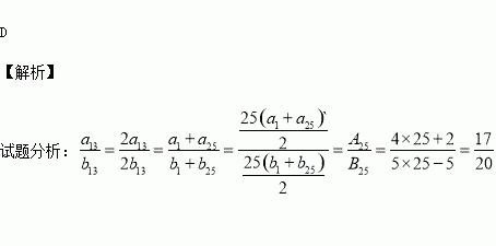
若两个等差数列的前n项和分别为An 、Bn,且满足,则的值为 ( )

A. B. C. D.

练习册系列答案
相关习题

科目:高中数学 来源:2015-2016学年辽宁省葫芦岛市高一上学期期中考试数学试卷(解析版) 题型:选择题

函数f(x)=

A .(-2,-1) B、(-1,0) C.(0,1) D.(1,2)

查看答案和解析>>

科目:高中数学 来源:2015-2016学年福建省高一上学期期中考试数学试卷(解析版) 题型:解答题

(本小题满分12分)已知函数

(1)判断的奇偶性并说明理由;

(2)判断上的单调性,并用定义证明;

(3)求满足的取值范围.

查看答案和解析>>

科目:高中数学 来源:2014-2015学年上海市高二下学期期末考试数学试卷(解析版) 题型:填空题

在一个水平放置的底面半径为cm的圆柱形量杯中装有适量的水,现放入一个半径为cm的实心铁球,球完全浸没于水中且无水溢出,若水面高度恰好上升cm,则___ ____cm.

查看答案和解析>>

科目:高中数学 来源:2015-2016学年重庆市高二上第一次月考理科数学试卷(解析版) 题型:选择题

要得到的图像,需要将函数的图像( )

A.向左平移个单位 B.向右平移个单位

C.向左平移个单位 D.向右平移个单位

查看答案和解析>>

科目:高中数学 来源:2015-2016学年辽宁省大连市高二上期中文科数学试卷(解析版) 题型:选择题

已知椭圆的左、右焦点分别为,点在椭圆上,若是一个直角三角形的三个顶点,则点轴的距离为

(A) (B) (C) (D)

查看答案和解析>>

科目:高中数学 来源:2015-2016学年辽宁省大连市高二上期中理科数学试卷(解析版) 题型:选择题

椭圆的短轴长为

(A) (B) (C) (D)

查看答案和解析>>

科目:高中数学 来源:2015-2016学年江西省赣州市十三县高二上期中联考理科数学试卷(解析版) 题型:选择题

已知,下列命题正确的是( )

A.若, 则 B.若,则

C.若,则 D.若,则

查看答案和解析>>

科目:高中数学 来源:2016届重庆市高三上学期第三次月考理科数学试卷(解析版) 题型:填空题

已知向量,若,则

查看答案和解析>>

同步练习册答案