精英家教网 > 高中数学 > 题目详情

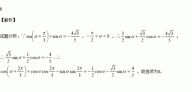
已知,则( )

A. B. C. D.

练习册系列答案
相关习题

科目:高中数学 来源:2016届山西省高三高考考前质量检测考试(三)数学(理)试卷(解析版) 题型:选择题

实数满足的最小值为,则实数a的值为( )

A. B. C. D.

查看答案和解析>>

科目:高中数学 来源:2016届陕西黄陵中学高三下二模考试数学(文)试卷(解析版) 题型:选择题

在边长为4的等边三角形的内部任取一点,使得的概率为( )

A. B. C. D.

查看答案和解析>>

科目:高中数学 来源:2017届宁夏高三上学期月考一数学(理)试卷(解析版) 题型:填空题

复数满足,并且

的取值范围是______________.

查看答案和解析>>

科目:高中数学 来源:2017届宁夏高三上学期月考一数学(理)试卷(解析版) 题型:选择题

数列中,,则( )

A.97 B.98 C.99 D.100

查看答案和解析>>

科目:高中数学 来源:2016-2017汕头潮阳实验学校高二培优班8月月考数学试卷(解析版) 题型:解答题

设数列满足.

(1)求数列的通项公式;

(2)设,求数列的前项和.

查看答案和解析>>

科目:高中数学 来源:2016-2017汕头潮阳实验学校高二培优班8月月考数学试卷(解析版) 题型:填空题

在等比数列中,若,则_________.

查看答案和解析>>

科目:高中数学 来源:2017届四川绵阳中学高三上学期入学考试数学(理)试卷(解析版) 题型:填空题

已知实数满足,则的最大值为

查看答案和解析>>

科目:高中数学 来源:2016-2017学年辽宁六校协作体高二期初考试数学试卷(解析版) 题型:解答题

已知以为圆心的圆及其上一点

(1)设圆轴相切,与圆外切,且圆心在直线上,求圆的标准方程;

(2)设平行于的直线与圆相交于两点,且,求直线的方程.

查看答案和解析>>

同步练习册答案