精英家教网 > 高中数学 > 题目详情

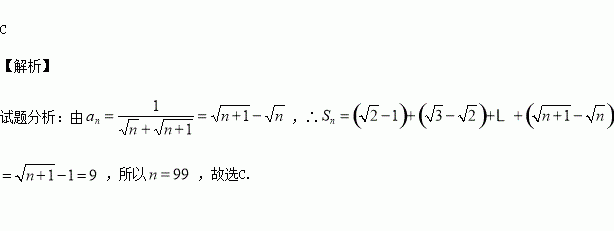
数列中,,则( )

A.97 B.98 C.99 D.100

练习册系列答案
相关习题

科目:高中数学 来源:2016届山西省高三高考考前质量检测考试(三)数学(理)试卷(解析版) 题型:选择题

函数的最大值与最小值的乘积为( )

A. B. C. D.

查看答案和解析>>

科目:高中数学 来源:2016届陕西黄陵中学高三下二模考试数学(文)试卷(解析版) 题型:填空题

如图,是一程序框图,则输出结果为__________.

查看答案和解析>>

科目:高中数学 来源:2017届宁夏高三上学期月考一数学(理)试卷(解析版) 题型:解答题

已知数列是其前项和,且满足).

(1)求证:数列是等比数列;

(2)记,求的表达式.

查看答案和解析>>

科目:高中数学 来源:2017届宁夏高三上学期月考一数学(理)试卷(解析版) 题型:填空题

曲线在点(1,2)处的切线方程是

查看答案和解析>>

科目:高中数学 来源:2017届宁夏高三上学期月考一数学(理)试卷(解析版) 题型:选择题

已知,则( )

A. B. C. D.

查看答案和解析>>

科目:高中数学 来源:2016-2017汕头潮阳实验学校高二培优班8月月考数学试卷(解析版) 题型:解答题

从某企业生产的某种产品中抽取20件,测量这些产品的一项质量指标值,由测量得到如图所示的频率分布直方图1,从左到右各组的频数依次记为.

(1)求图1中的值;

(2)图2是统计图1中各组频数的一个算法流程图,求输出的结果

(3)从质量指标值分布在的产品中随机抽取2件产品,求所抽取两件产品的质量指标之差大于10的概率.

查看答案和解析>>

科目:高中数学 来源:2016-2017汕头潮阳实验学校高二培优班8月月考数学试卷(解析版) 题型:选择题

已知集合,则( )

A.{0} B.{0,1} C.{0,2} D.{0,1,2}

查看答案和解析>>

科目:高中数学 来源:2017届新疆生产建设兵团二中高三上月考一数学(文)试卷(解析版) 题型:选择题

”是“函数上单调递增”的( )

A.充分不必要条件 B.必要不充分条件

C.充要条件 D.既不充分也不必要条件

查看答案和解析>>

同步练习册答案