精英家教网 > 高中数学 > 题目详情

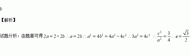
已知椭圆的长轴长是短轴长的倍,则椭圆的离心率等于

(A) (B) (C) (D)

练习册系列答案
相关习题

科目:高中数学 来源:2015-2016学年江苏省大丰市高二上学期期中考试数学试卷(解析版) 题型:填空题

已知点P是椭圆上一点,P到椭圆右焦点的距离为2,则点P到椭圆的左准线的距离为_____.

查看答案和解析>>

科目:高中数学 来源:2015-2016学年福建省高二上学期期中考试理科数学试卷(解析版) 题型:选择题

已知实数,且满足,则的最小值是( )

A. B. C. D.4

查看答案和解析>>

科目:高中数学 来源:2015-2016学年山东省临沂市高二上期中模拟理数学试卷(解析版) 题型:选择题

若关于的方程有解,则实数的取值范围是( )

A. B.

C. D.

查看答案和解析>>

科目:高中数学 来源:2015-2016学年辽宁省大连市高二上期中理科数学试卷(解析版) 题型:解答题

(本小题满分12分)

已知圆,圆心为,定点为圆上一点,线段的垂直平分线与直线交于点

(Ⅰ)求点的轨迹的方程;

(Ⅱ)过点的直线与曲线交于不同的两点,且满足为坐标原点),求弦长的取值范围.

查看答案和解析>>

科目:高中数学 来源:2015-2016学年江西省等三校高二上第一次联考数学试卷(解析版) 题型:选择题

过球的一条半径的中点,作垂直于该半径的平面,则所得截面的面积与球的表面积的比为( )

A. B. C. D.

查看答案和解析>>

科目:高中数学 来源:2015-2016学年江西省赣州市十三县高二上期中联考文科数学试卷(解析版) 题型:选择题

直线的倾斜角是,则的值是( )

A.-1 B.0 C.1 D.2

查看答案和解析>>

科目:高中数学 来源:2015-2016学年湖北省宜昌市高二上期中理科数学试卷(解析版) 题型:解答题

(12分) 圆内有一点P(-1,2),AB过点P,

①若弦长,求直线AB的倾斜角

②圆上恰有三点到直线AB的距离等于,求直线AB的方程.

查看答案和解析>>

科目:高中数学 来源:2016届云南省玉溪市高三上学期期中理科数学试卷(解析版) 题型:填空题

,若,则

查看答案和解析>>

同步练习册答案