精英家教网 > 高中数学 > 题目详情

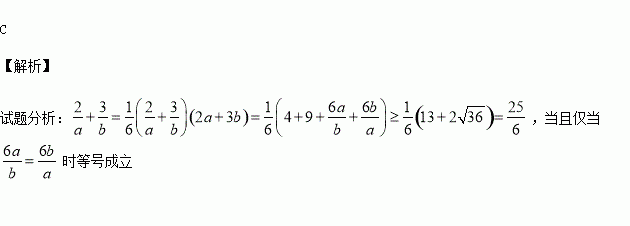
已知实数,且满足,则的最小值是( )

A. B. C. D.4

练习册系列答案
相关习题

科目:高中数学 来源:2015-2016学年黑龙江省高二上学期期中数学试卷(解析版) 题型:选择题

已知圆心,一条直径的两个端点恰好在两坐标轴上,则这个圆的方程是( )

A. B.

C. D.

查看答案和解析>>

科目:高中数学 来源:2015-2016学年吉林省扶余市高二上学期期中考试文科数学试卷(解析版) 题型:选择题

设x,y满足,则的最大值是( )

A.3 B.4 C.5 D .6

查看答案和解析>>

科目:高中数学 来源:2015-2016学年福建省高一上学期期中考试数学试卷(解析版) 题型:选择题

这三个函数中,当时,都有成立的函数个数是( )

A.0 B.1 C.2 D.3

查看答案和解析>>

科目:高中数学 来源:2015-2016学年福建省高二上学期期中考试文科数学试卷(解析版) 题型:选择题

设M=2a(a-2),N=(a+1)(a-3),则 ( )

A.M >N B.M ≥N C.M<N D.M≤N

查看答案和解析>>

科目:高中数学 来源:2014-2015学年上海市高二下学期期末考试数学试卷(解析版) 题型:选择题

已知直线平面,直线在平面内,给出下列四个命题:①

;③;④,其中真命题的个数是( )

A.①② B.①④ C.②③ D.②④

查看答案和解析>>

科目:高中数学 来源:2015-2016学年重庆市高二上第一次月考理科数学试卷(解析版) 题型:选择题

在公比为的等比数列中,若,则的值是( )

A. B. C. D.

查看答案和解析>>

科目:高中数学 来源:2015-2016学年辽宁省大连市高二上期中理科数学试卷(解析版) 题型:选择题

已知椭圆的长轴长是短轴长的倍,则椭圆的离心率等于

(A) (B) (C) (D)

查看答案和解析>>

科目:高中数学 来源:2015-2016学年广东省普宁市高二上期中文科数学试卷(解析版) 题型:填空题

已知的图象与X轴交与,则的最小值为____

查看答案和解析>>

同步练习册答案