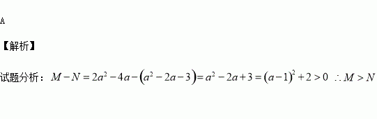
精英家教网 > 高中数学 > 题目详情

设M=2a(a-2),N=(a+1)(a-3),则 ( )

A.M >N B.M ≥N C.M<N D.M≤N

练习册系列答案
相关习题

科目:高中数学 来源:2015-2016学年江西铅山一中 、横峰中学高二上学期期中理科数学卷(解析版) 题型:选择题

某单位有840名职工,现采用系统抽样方法,抽取42人做问卷调查,将840人按1,2,…,840随机编号,则抽取的42人中,编号落入区间[481,720]的人数为( )

A.11 B.12 C.13 D.14

查看答案和解析>>

科目:高中数学 来源:2015-2016学年吉林省扶余市高一上学期期中考试数学试卷(解析版) 题型:选择题

已知函数是偶函数,且,则( )

A. B.7 C. D.

查看答案和解析>>

科目:高中数学 来源:2015-2016学年湖南省高二上学期期中考试理科数学试卷(解析版) 题型:选择题

椭圆的焦点 ,P为椭圆上的一点,已知,则△的面积为( )

A.12 B.10 C.9 D.8

查看答案和解析>>

科目:高中数学 来源:2015-2016学年福建省高一上学期期中考试数学试卷(解析版) 题型:选择题

下列函数中,既是奇函数又在上单调递增的是( )

A. B. C. D.

查看答案和解析>>

科目:高中数学 来源:2015-2016学年福建省高二上学期期中考试理科数学试卷(解析版) 题型:选择题

已知实数,且满足,则的最小值是( )

A. B. C. D.4

查看答案和解析>>

科目:高中数学 来源:2014-2015学年上海市高二下学期期末考试数学试卷(解析版) 题型:填空题

若双曲线的渐近线方程为,它的一个焦点与抛物线的焦点重合,则双曲线的标准方程为

查看答案和解析>>

科目:高中数学 来源:2015-2016学年辽宁省大连市高二上期中理科数学试卷(解析版) 题型:解答题

(本小题满分12分)

已知圆,圆心为,定点为圆上一点,线段的垂直平分线与直线交于点

(Ⅰ)求点的轨迹的方程;

(Ⅱ)过点的直线与曲线交于不同的两点,且满足为坐标原点),求弦长的取值范围.

查看答案和解析>>

科目:高中数学 来源:2015-2016学年河北省邢台市高二上第一次月考数学试卷(解析版) 题型:选择题

某几何体的主视图与左视图都是边长为1的正方形,且体积为,则该几何体的俯视图可以是( )

查看答案和解析>>

同步练习册答案