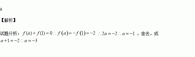
精英家教网 > 高中数学 > 题目详情

已知函数,若,则实数的值等于 ( )

A.-3 B.-1 C.1 D.3

练习册系列答案
相关习题

科目:高中数学 来源:2015-2016学年江西省南昌市高一上学期期中考试数学试卷(解析版) 题型:选择题

已知集合,则集合 ( )

A、 B、 C、 D、

查看答案和解析>>

科目:高中数学 来源:2015-2016学年四川绵阳南山中学高二上期中理科数学试卷(解析版) 题型:选择题

抛物线的焦点的坐标是( )

A、 B、 C、 D、

查看答案和解析>>

科目:高中数学 来源:2015-2016学年江苏省泰兴市高二上学期期中考试数学试卷(解析版) 题型:解答题

(本小题满分14分)已知命题:实数满足:方程)表示双曲线;命题:实数满足方程表示焦点在轴上的椭圆,且的必要不充分条件,求实数的取值范围。

查看答案和解析>>

科目:高中数学 来源:2015-2016学年辽宁省大连市高一上学期期中考试数学试卷(解析版) 题型:解答题

已知定义在R上的奇函数

(1)求实数的值;

(2)判断的单调性,并证明.

查看答案和解析>>

科目:高中数学 来源:2015-2016学年河南省英文学校高一上学期期中考试数学试卷(解析版) 题型:填空题

函数的单调递减区间为

查看答案和解析>>

科目:高中数学 来源:2015-2016学年广东省英德市高二上学期第一次月考理科数学试卷(解析版) 题型:选择题

a=1”是“直线和直线互相垂直”的( )条件

A.充分不必要 B.必要不充分 C.充要 D.既不充分也不必要

查看答案和解析>>

科目:高中数学 来源:2014-2015学年浙江省等三校高二上学期期中考试数学试卷(解析版) 题型:填空题

若△ABC满足a=3,b=4, c=2则cos B=________.

查看答案和解析>>

科目:高中数学 来源:2015-2016学年湖北省宜昌市高一上学期期中考试数学试卷(解析版) 题型:填空题

已知幂函数的图像过点,则f(27)=________.

查看答案和解析>>

同步练习册答案