精英家教网 > 高中数学 > 题目详情
已知椭圆的中心在坐标原点O,长轴长为,离心率,过右焦点F的直线l交椭圆于P,Q两点.
(1)求椭圆的方程;
(2)当直线l的斜率为1时,求△POQ的面积;
(3)若以OP,OQ为邻边的平行四边形是矩形,求满足该条件的直线l的方程.
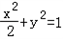
解:(1)由已知,椭圆方程可设为
∵长轴长为,离心率

所求椭圆方程为
(2)因为直线l过椭圆右焦点F(1,0),且斜率为1,
所以直线l的方程为y=x﹣1.
设P(x1,y1),Q(x2,y2),
得3y2+2y﹣1=0,
解得

(3)当直线l与x轴垂直时,直线l的方程为x=1,
此时∠POQ小于90°,
OP,OQ为邻边的平行四边形不可能是矩形.
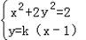
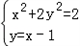
当直线l与x轴不垂直时,设直线l的方程为y=k(x﹣1).
可得
(1+2k2)x2﹣4k2x+2k2﹣2=0.

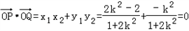
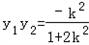
∵y1=k(x1﹣1),y2=k(x2﹣1)

因为以OP,OQ为邻边的平行四边形是矩形

k2=2,

∴所求直线的方程为
练习册系列答案
相关习题

科目:高中数学 来源: 题型:

精英家教网已知椭圆的中心在坐标原点O,焦点在x轴上,短轴长为2,且两个焦点和短轴的两个端点恰为一个正方形的顶点.过右焦点F与x轴不垂直的直线l交椭圆于P,Q两点.
(1)求椭圆的方程;
(2)当直线l的斜率为1时,求△POQ的面积;
(3)在线段OF上是否存在点M(m,0),使得以MP,MQ为邻边的平行四边形是菱形?若存在,求出m的取值范围;若不存在,请说明理由.

查看答案和解析>>

科目:高中数学 来源: 题型:

已知椭圆的中心在坐标原点,且经过点M(1,
2
5
5
)
,N(-2,
5
5
)
,若圆C的圆心与椭圆的右焦点重合,圆的半径恰好等于椭圆的短半轴长,已知点A(x,y)为圆C上的一点.
(1)求椭圆的标准方程和圆的标准方程;
(2)求
AC
AO
+2|
AC
-
AO
|
(O为坐标原点)的取值范围;
(3)求x2+y2的最大值和最小值.

查看答案和解析>>

科目:高中数学 来源: 题型:

已知椭圆的中心在坐标原点,焦点在x轴上,椭圆上点P(3
2
,4)
到两焦点的距离之和是12,则椭圆的标准方程是
 

查看答案和解析>>

科目:高中数学 来源: 题型:

已知椭圆的中心在坐标原点,焦点在x轴上,焦距为6
3
,且椭圆上一点到两个焦点的距离之和为12,则椭圆的方程为
x2
36
+
y2
9
=1
x2
36
+
y2
9
=1

查看答案和解析>>

科目:高中数学 来源: 题型:

已知椭圆的中心在坐标原点O,焦点在x轴上,离心率为
2
2
,坐标原点O到过右焦点F且斜率为1的直线的距离为
2
2

(1)求椭圆的方程;
(2)设过右焦点F且与坐标轴不垂直的直线l交椭圆于P、Q两点,在线段OF上是否存在点M(m,0),使得以MP、MQ为邻边的平行四边形是菱形?若存在,求出m的取值范围;若不存在,请说明理由.

查看答案和解析>>

同步练习册答案