精英家教网 > 高中数学 > 题目详情

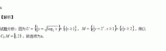
已知,则( )

A. B. C. D.

练习册系列答案
相关习题

科目:高中数学 来源:2016届西藏日喀则一中高三下学期二模理科数学试卷(解析版) 题型:选择题

已知函数,则函数的大致图象为( )

查看答案和解析>>

科目:高中数学 来源:2016届四川省高三下三诊考试文科数学试卷(解析版) 题型:选择题

如图,曲线Γ在顶点为O的角α的内部,A、B是曲线Γ上任意相异两点,且α≥∠AOB,我们把满足条件的最小角叫做曲线Γ相对于点O的“确界角”.已知O为坐标原点,曲线C的方程为,那么它相对于点O的“确界角”等于( )

A. B. C. D.

查看答案和解析>>

科目:高中数学 来源:2016届四川省高三下三诊考试理科数学试卷(解析版) 题型:填空题

在平面直角坐标系中,点若直线上存在点,使得,则实数的取值范围是

查看答案和解析>>

科目:高中数学 来源:2016届四川省高三下三诊考试理科数学试卷(解析版) 题型:选择题

若函数同时满足以下三个性质;①的最小正周期为;②对任意的,都有;③上是减函数, 则的解析式可能是( )

A. B.

C. D.

查看答案和解析>>

科目:高中数学 来源:2016届山西省高考考前质量检测三理科数学试卷(解析版) 题型:解答题

设函数.

(Ⅰ)当时,求曲线在点处的切线方程;

(Ⅱ)若对任意恒成立,求实数的取值范围.

查看答案和解析>>

科目:高中数学 来源:2016届山西省高考考前质量检测三理科数学试卷(解析版) 题型:填空题

在平面几何中,三角形的面积等于其周长的一半与其内切圆半径之积,类比之,在立体几何中,三棱锥的体积等于______.(用文字表述)

查看答案和解析>>

科目:高中数学 来源:2016届河南省商丘市高三第三次模拟文科数学试卷(解析版) 题型:解答题

已知函数.

(Ⅰ)求函数的单调区间和极值;

(Ⅱ)若时,恒成立,求实数的取值范围.

查看答案和解析>>

科目:高中数学 来源:2015-2016学年河北石家庄辛集中学高二下期中理数学卷(解析版) 题型:选择题

某地四月份刮东风的概率是,既刮东风又下雨的概率是,则该地四月份刮东风的条件下,下雨的概率为( )

A. B. C. D.

查看答案和解析>>

同步练习册答案