精英家教网 > 高中数学 > 题目详情

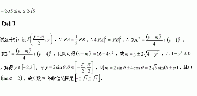
在平面直角坐标系中,点若直线上存在点,使得,则实数的取值范围是

练习册系列答案
相关习题

科目:高中数学 来源:2016届西藏日喀则一中高三下学期二模理科数学试卷(解析版) 题型:解答题

如图所示几何体中,四边形和四边形是全等的等腰梯形,且平面平面为线段的中点.

(1)求证:

(2)求二面角 (钝角)的余弦值.

查看答案和解析>>

科目:高中数学 来源:2016届江苏省高三考前一周双练三模数学试卷(解析版) 题型:填空题

已知集合,且,则实数的值为

查看答案和解析>>

科目:高中数学 来源:2016届四川省高三下三诊考试文科数学试卷(解析版) 题型:选择题

执行如图所示的程序框图,如果输入的,则输出的M等于( )

A.3 B. C. D.

查看答案和解析>>

科目:高中数学 来源:2016届四川省高三下三诊考试理科数学试卷(解析版) 题型:解答题

如图,图②为图①空间图形的主视图和侧视图,其中侧视图为正方形,在图①中,设平面与平面相关交于直线

(1)求证:

(2)在图①中,线段上是石存在点,使得直线与平面所成角的正弦值等于?若存在,求出点的位置;若不存在,请说明理由.

查看答案和解析>>

科目:高中数学 来源:2016届四川省高三下三诊考试理科数学试卷(解析版) 题型:选择题

是拋物线上分别位于轴两侧的两个动点,且,过点的垂线与拋物线交于两点,则四边形的面积的最小值为( )

A. B. C. D.

查看答案和解析>>

科目:高中数学 来源:2016届四川省高三下三诊考试理科数学试卷(解析版) 题型:选择题

已知,则( )

A. B. C. D.

查看答案和解析>>

科目:高中数学 来源:2016届山西省高考考前质量检测三理科数学试卷(解析版) 题型:选择题

,且,则的值为( )

A. B. C. D.

查看答案和解析>>

科目:高中数学 来源:2015-2016学年河北石家庄辛集中学高二下期中理数学卷(解析版) 题型:选择题

如图所示数阵中,用表示第行的第个数,则依此规律为( )

A. B. C. D.

查看答案和解析>>

同步练习册答案