精英家教网 > 高中数学 > 题目详情

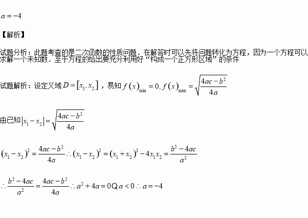
设函数的定义域为D,若所有点构成一个正方形区域,求的值.

练习册系列答案
相关习题

科目:高中数学 来源:2016届湖北省、宜昌一中高三10月联考文科数学试卷(解析版) 题型:选择题

已知函数f(x)=x3+ax2+bx-a2-7a在x=1处取得极大值10,则的值为( )

A.- B.-2 C.-2或- D.不存在

查看答案和解析>>

科目:高中数学 来源:2015-2016学年江西省高二上学期第一次月考数学试卷(解析版) 题型:选择题

表面积为的圆锥,它的侧面展开图是一个半圆,则该圆锥的底面直径为( )

A. B. C. D.

查看答案和解析>>

科目:高中数学 来源:2015-2016学年江苏省高一上学期第一次月考数学卷(解析版) 题型:解答题

已知集合,

(1)当时,求

(2)当时,求的取值范围.

查看答案和解析>>

科目:高中数学 来源:2015-2016学年江苏省高一上学期第一次月考数学卷(解析版) 题型:填空题

函数y=的最大值是___ ____.

查看答案和解析>>

科目:高中数学 来源:2015-2016学年吉林省长春市高一上学期期初考试文科数学试卷(解析版) 题型:填空题

的值域是

查看答案和解析>>

科目:高中数学 来源:2015-2016学年吉林省长春市高一上学期期初考试文科数学试卷(解析版) 题型:选择题

函数.则= ( )

A. B.0 C. D.1

查看答案和解析>>

科目:高中数学 来源:2015-2016学年吉林省长春市高一上学期期初考试理科数学试卷(解析版) 题型:选择题

函数的值域是( )

A. B.

C. D.R

查看答案和解析>>

科目:高中数学 来源:2015-2016学年福建省师大附高二上期中理科数学试卷(解析版) 题型:填空题

已知数列满足,若,且对于任意正整数均成立,则数列的前2015项和的值为 .(用具体的数字表示)

查看答案和解析>>

同步练习册答案