精英家教网 > 高中数学 > 题目详情

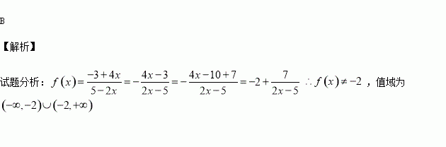
函数的值域是( )

A. B.

C. D.R

练习册系列答案
相关习题

科目:高中数学 来源:2015-2016学年内蒙古赤峰平煤高中高二上学期月考数学试卷(解析版) 题型:解答题

某人群中各种血型的人所占的比例如下:

血型

A

B

AB

O

该血型的人所占比例(%)

28

29

8

35

已知同种血型的人可以输血,O型血可以输给任何一种血型的人,其他不同血型的人不能互相输血,小明是B型血,若小明因病需要输血,问:

(1)任找一个人,其血可以输给小明的概率是多少?

(2)任找一个人,其血不能输给小明的概率是多少?

查看答案和解析>>

科目:高中数学 来源:2015-2016学年吉林省长春市高一上学期期初考试文科数学试卷(解析版) 题型:解答题

设函数的定义域为D,若所有点构成一个正方形区域,求的值.

查看答案和解析>>

科目:高中数学 来源:2015-2016学年吉林省长春市高一上学期期初考试理科数学试卷(解析版) 题型:解答题

(10分)已知函数

(1)求

(2)求的值;

(3)求

查看答案和解析>>

科目:高中数学 来源:2015-2016学年吉林省长春市高一上学期期初考试理科数学试卷(解析版) 题型:选择题

若函数为奇函数,则 ( )

A.1 B.2 C. D.

查看答案和解析>>

科目:高中数学 来源:2015-2016学年吉林省扶余市高一上学期第一次月考数学试卷(解析版) 题型:解答题

已知全集,函数的定义域为集合,函数的定义域为集合

(1)求集合和集合;

(2)求集合(∁UA)∪(∁UB).

查看答案和解析>>

科目:高中数学 来源:2015-2016学年吉林省扶余市高一上学期第一次月考数学试卷(解析版) 题型:选择题

已知U=R,A={x|x2+px+12=0},B={x|x2-5x+q=0},若(∁UA)∩B={2},(∁UB)∩A={4},则A∪B=( ).

A.{2,3,4} B.{2.3} C.{2,4} D.{3,4}

查看答案和解析>>

科目:高中数学 来源:2015-2016学年广西桂林中学高二上期中考试文科数学试卷(解析版) 题型:选择题

在△ABC中,若,则△ABC的形状是( )

A.锐角三角形 B.直角三角形

C.钝角三角形 D.不能确定

查看答案和解析>>

科目:高中数学 来源:2015-2016学年湖北省高二上学期期中理科数学试卷(解析版) 题型:选择题

设点是函数图象上的任意一点,点是直线上的任意一点,则的最小值为( )

A. B. C. D.以上答案都不对

查看答案和解析>>

同步练习册答案