精英家教网 > 高中数学 > 题目详情

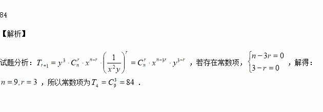
的展开式中存在常数项,则常数项为_____.

练习册系列答案
相关习题

科目:高中数学 来源:2015-2016学年广东茂名十七中高二下学期期末数学(理)试卷(解析版) 题型:选择题

,则的值为( )

A. B. C.1 D.2

查看答案和解析>>

科目:高中数学 来源:2016届河南六市高三第二次联考数学(文)试卷(解析版) 题型:解答题

在如图所示的空间几何体中,平面ACD⊥平面ABC,△ACD与△ACB是边长为2的等边三角形,BE=2,BE和平面ABC所成的角为60°,且点E在平面ABC上的射影落在的平分线上.

(1)求证:DE∥平面ABC;

(2)求此空间几何体的体积.

查看答案和解析>>

科目:高中数学 来源:2016届河南六市高三第二次联考数学(文)试卷(解析版) 题型:选择题

已知,其中i为虚数单位,则( )

A.-1 B.1 C.2 D.3

查看答案和解析>>

科目:高中数学 来源:2016届河南六市高三第二次联考数学(理)试卷(解析版) 题型:解答题

在四棱柱中,底面ABCD是菱形,且.

(1)求证:平面平面

(2)若,求二面角的大小.

查看答案和解析>>

科目:高中数学 来源:2016届河南六市高三第二次联考数学(理)试卷(解析版) 题型:选择题

已知某几何体的三视图如下图所示(图中数据单位:cm),则这个几何体的体积为( )

A. B. C. D.

查看答案和解析>>

科目:高中数学 来源:2016届河南六市高三第二次联考数学(理)试卷(解析版) 题型:选择题

已知,其中i为虚数单位,则( )

A.-1 B.1 C.2 D.3

查看答案和解析>>

科目:高中数学 来源:2016-2017学年河北石家庄市高三文9月摸底数学试卷(解析版) 题型:选择题

已知满足约束条件,则下列目标函数中,在点处取得最大值的是

A. B. C. D.

查看答案和解析>>

科目:高中数学 来源:2015-2016学年辽宁省协作校高一下期末数学试卷(解析版) 题型:选择题

已知点P是圆上的一个动点,点Q是直线上的一个动点,O为坐标原点,则向量上的射影的数量的最大值是( )

A.3 B. C.3 D.1

查看答案和解析>>

同步练习册答案