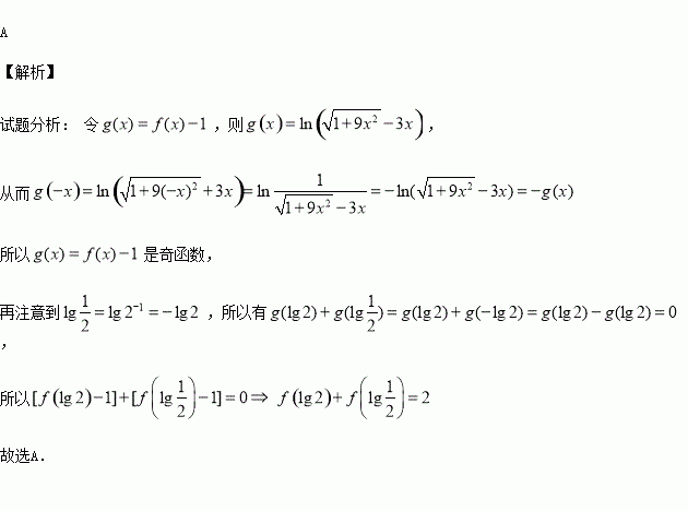
精英家教网 > 高中数学 > 题目详情

已知函数( )

A. B. C. D.

练习册系列答案
相关习题

科目:高中数学 来源:2015-2016学年湖南衡阳八中高二上第二次月考文科数学卷(解析版) 题型:选择题

某小组有3名男生和2名女生,从中任选2名同学去参加演讲比赛,事件“至少1名女生”与事件“全是男生”( )

A.是互斥事件,不是对立事件

B.是对立事件,不是互斥事件

C.既是互斥事件,也是对立事件

D.既不是互斥事件也不是对立事件

查看答案和解析>>

科目:高中数学 来源:2016届甘肃省高三12月月考文科数学试卷(解析版) 题型:选择题

已知命题p:?x∈R,(m+1)(x2+1)≤0,命题q:?x∈R,x2+mx+1>0恒成立.

若p∧q为假命题,则实数m的取值范围为( )

A.m≥2 B.m≤-2或m>-1

C.m≤-2或m≥2 D.-1<m≤2

查看答案和解析>>

科目:高中数学 来源:2016届福建省高三上学期半期考试理科数学试卷(解析版) 题型:填空题

在等腰梯形ABCD中,已知AB//DC,AB=2,BC=1,∠ABC=60°,动点E和F分别在线段BC和DC上,且,则的最小值为

查看答案和解析>>

科目:高中数学 来源:2015-2015学年云南省玉溪市高二上学期期中数学试卷(解析版) 题型:选择题

已知等差数列中,是它的前项和,若,则当最大时,的值为( )

A.8 B.9 C.10 D.16

查看答案和解析>>

科目:高中数学 来源:2015-2016学年四川省实验学校高二上学期期中文科数学试卷(解析版) 题型:填空题

直线的倾斜角的范围是

查看答案和解析>>

科目:高中数学 来源:2015-2016学年山东省济宁市兖州区高一上学期期中考试数学试卷(解析版) 题型:选择题

是定义在上的偶函数,且,则下列各式一定成立的是 ( )

A. B.

C. D.

查看答案和解析>>

科目:高中数学 来源:2016届辽宁省抚顺市高三12月月考文科数学试卷(解析版) 题型:选择题

执行如图的程序框图,输出的值是( )

A. B. C. D.

查看答案和解析>>

科目:高中数学 来源:2015-2016学年安徽省合肥市高一上学期期中数学试卷(解析版) 题型:解答题

已知为函数的图像上的三点,它们的横坐标分别是

(1)设△的面积为,求

(2)求函数的值域.

查看答案和解析>>

同步练习册答案