精英家教网 > 高中数学 > 题目详情

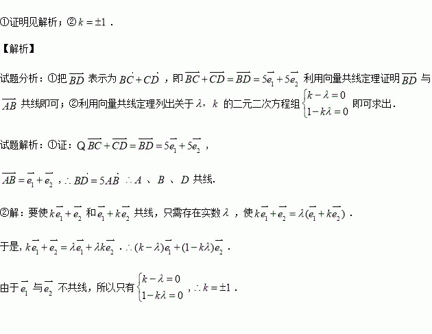
设两个非零向量不共线.

①如果,,,求证:三点共线;

②试确定实数的值,使共线.

练习册系列答案
相关习题

科目:高中数学 来源:2016届江苏省高三考前一周双练冲刺四数学试卷(解析版) 题型:解答题

数列满足.

(1)用数学归纳法证明:

(2)已知不等式成立,证明:(其中无理数).

查看答案和解析>>

科目:高中数学 来源:2015-2016学年四川彭州中学高一重点班5月月考数学试卷(解析版) 题型:选择题

中,分别为角的对边,若,则的形状( )

A. 直角三角形 B. 等边三角形

C. 等腰三角形 D. 等腰直角三角形

查看答案和解析>>

科目:高中数学 来源:2015-2016学年河北武邑中学高一下4.17周考数学试卷(解析版) 题型:选择题

等比数列中,对任意,则等于( )

A. B. C. D.

查看答案和解析>>

科目:高中数学 来源:2015-2016学年河北武邑中学高一下4.17周考数学试卷(解析版) 题型:选择题

已知,那么角是( )

A.第一或第二象限 B.第二或第三象限

C.第一或第四象限 D.第三或第四象限

查看答案和解析>>

科目:高中数学 来源:2015-2016学年福建省高一下周末练数学试卷(解析版) 题型:填空题

向量,且的方向相同,则的取值范围是

查看答案和解析>>

科目:高中数学 来源:2015-2016学年福建省高一下周末练数学试卷(解析版) 题型:选择题

已知中,,,则的夹角为( )

A. B. C. D.

查看答案和解析>>

科目:高中数学 来源:2015-2016学年重庆十八中高一下期中理科数学试卷(解析版) 题型:填空题

等差数列项和为,若 .

查看答案和解析>>

科目:高中数学 来源:2015-2016学年江苏省高一下期中数学试卷(解析版) 题型:填空题

将全体正整数排成一个三角形数阵:按照以上排列的规律,第从左向右的第3个数为________.

查看答案和解析>>

同步练习册答案