精英家教网 > 高中数学 > 题目详情

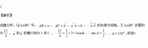
已知中,,,则的夹角为( )

A. B. C. D.

练习册系列答案
相关习题

科目:高中数学 来源:2016届江苏省高三考前一周双练冲刺四数学试卷(解析版) 题型:填空题

,使得成立,则实数的取值范围为 .

查看答案和解析>>

科目:高中数学 来源:2015-2016学年河北武邑中学高一下4.17周考数学试卷(解析版) 题型:填空题

如图,一不规则区域内,有一边长为1米的正方形,向区域内随机地撒1000颗黄豆,数得落在正方形区域内(含边界)的黄豆数400颗,以此实验数据为依据可以估计出该不规则图形的面积为________平方米.(用分数作答)

查看答案和解析>>

科目:高中数学 来源:2015-2016学年福建省高一下周末练数学试卷(解析版) 题型:解答题

设两个非零向量不共线.

①如果,,,求证:三点共线;

②试确定实数的值,使共线.

查看答案和解析>>

科目:高中数学 来源:2015-2016学年福建省高一下周末练数学试卷(解析版) 题型:填空题

向量共线,则

查看答案和解析>>

科目:高中数学 来源:2015-2016学年福建省高一下周末练数学试卷(解析版) 题型:选择题

中,,,则的值等于( )

A. B. C. D.

查看答案和解析>>

科目:高中数学 来源:2015-2016学年重庆十八中高一下期中理科数学试卷(解析版) 题型:解答题

已知

(1)求的夹角;

(2)求的夹角的余弦值.

查看答案和解析>>

科目:高中数学 来源:2015-2016学年重庆十八中高一下期中理科数学试卷(解析版) 题型:选择题

,则下列不等式成立的是( )

A. B.

C. D.

查看答案和解析>>

科目:高中数学 来源:2015-2016学年江苏省高一下期中数学试卷(解析版) 题型:填空题

若正项等比数列满足,则公比________.

查看答案和解析>>

同步练习册答案