精英家教网 > 高中数学 > 题目详情

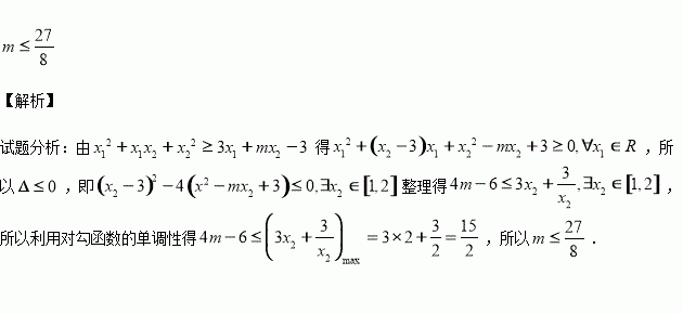
,使得成立,则实数的取值范围为 .

练习册系列答案
相关习题

科目:高中数学 来源:2015-2016学年辽宁东北育才学校高二下期中文科数学试卷(解析版) 题型:填空题

如图,已知的直径,的两条弦,,,则的弧度数为 .

查看答案和解析>>

科目:高中数学 来源:2015-2016学年辽宁省高一4月月考数学试卷(解析版) 题型:解答题

已知sin是方程的根,求的值.

查看答案和解析>>

科目:高中数学 来源:2016届江苏省高三考前一周双练冲刺四数学试卷(解析版) 题型:解答题

数列满足.

(1)用数学归纳法证明:

(2)已知不等式成立,证明:(其中无理数).

查看答案和解析>>

科目:高中数学 来源:2016届江苏省高三考前一周双练冲刺四数学试卷(解析版) 题型:解答题

,已知函数有两个零点,且.

(1)求的取值范围;

(2)证明:随着的增大而增大;

(3)证明:.

查看答案和解析>>

科目:高中数学 来源:2016届江苏省高三考前一周双练冲刺四数学试卷(解析版) 题型:填空题

已知为定义在上的奇函数,当时,,则方程的解集是 .

查看答案和解析>>

科目:高中数学 来源:2016届江苏省高三考前一周双练冲刺四数学试卷(解析版) 题型:填空题

已知复数满足(其中为虚数单位),则 .

查看答案和解析>>

科目:高中数学 来源:2015-2016学年四川彭州中学高一重点班5月月考数学试卷(解析版) 题型:选择题

中,分别为角的对边,若,则的形状( )

A. 直角三角形 B. 等边三角形

C. 等腰三角形 D. 等腰直角三角形

查看答案和解析>>

科目:高中数学 来源:2015-2016学年福建省高一下周末练数学试卷(解析版) 题型:选择题

已知中,,,则的夹角为( )

A. B. C. D.

查看答案和解析>>

同步练习册答案