精英家教网 > 高中数学 > 题目详情

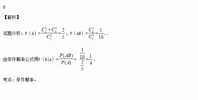
中任取个不同的数,事件=“取到的个数之和为偶数”,事件=“取到的个数均为偶数”,则=( )

A. B. C. D.

练习册系列答案
相关习题

科目:高中数学 来源:2014-2015学年山西大学附属中学高二3月月考数学试卷(解析版) 题型:填空题

已知,则____________.

查看答案和解析>>

科目:高中数学 来源:2014-2015学年内蒙古包头三十三中高一上学期期末考试文科数学试卷(解析版) 题型:填空题

如图,已知直二面角α lβ,点A∈α,AC⊥l,C为垂足,B∈β,BD⊥l,D为垂足.若AB=2,AC=BD=1,则D到平面ABC的距离等于

查看答案和解析>>

科目:高中数学 来源:2014-2015学年吉林省高二下学期第一次月考理科数学试卷(解析版) 题型:解答题

掷3枚均匀硬币一次,求正面个数与反面个数之差X的分布列,并求其均值。

查看答案和解析>>

科目:高中数学 来源:2014-2015学年吉林省高二下学期第一次月考理科数学试卷(解析版) 题型:填空题

事件相互独立,若,则

查看答案和解析>>

科目:高中数学 来源:2014-2015学年吉林省高二下学期第一次月考理科数学试卷(解析版) 题型:选择题

记者要为5名志愿者和他们帮助的2位老人拍照,要求排成一排,2位老人相邻但不排在两端,不同的排法共有( )

A.1440种 B.960种 C.720种 D.480种

查看答案和解析>>

科目:高中数学 来源:2014-2015学年湖南浏阳一中高二下学期第一次阶段测试文科数学试卷(解析版) 题型:解答题

我校高三年级进行了一次水平测试.用系统抽样的方法抽取了50名学生的数学成绩,准备进行分析和研究.经统计成绩的分组及各组的频数如下:

[40,50), 2; [50,60), 3; [60,70), 10; [70,80), 15; [80,90), 12; [90,100], 8.

(Ⅰ)完成样本的频率分布表;画出频率分布直方图.

(Ⅱ)估计成绩在85分以下的学生比例;

(Ⅲ)请你根据以上信息去估计样本的众数、中位数、平均数.(精确到0.01)

分组

频数

频率

[40,50)

2

[50,60)

3

[60,70)

10

[70,80)

15

[80,90)

12

[90,100]

8

合计

50

查看答案和解析>>

科目:高中数学 来源:2014-2015学年湖南浏阳一中高二下学期第一次阶段测试文科数学试卷(解析版) 题型:选择题

已知为纯虚数(是虚数单位)则实数( )

A. B. C. D.

查看答案和解析>>

科目:高中数学 来源:2014-2015学年河北省保定市高二3月月考文科数学试卷(解析版) 题型:选择题

极坐标方程表示的图形是( )

A.两个圆

B.一个圆和一条直线

C.一个圆和一条射线

D.一条直线和一条射线

查看答案和解析>>

同步练习册答案