精英家教网 > 高中数学 > 题目详情

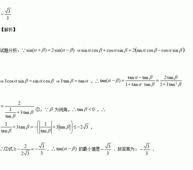
已知为钝角,若,则的最小值是____.

练习册系列答案
相关习题

科目:高中数学 来源:2017届河北省高三上周练一数学试卷(解析版) 题型:填空题

已知,则=_____________.

查看答案和解析>>

科目:高中数学 来源:2016届河北省高三下练习五文科数学试卷(解析版) 题型:解答题

已知抛物线的焦点为,过点的直线交抛物线于两点.

(1)若,求直线的方程;

(2)求面积的最小值.

查看答案和解析>>

科目:高中数学 来源:2016届河北省高三下练习五文科数学试卷(解析版) 题型:选择题

椭圆的离心率是,则实数为( )

A. B. C. D.

查看答案和解析>>

科目:高中数学 来源:2016届河南省高三考前冲刺四文科数学试卷(解析版) 题型:解答题

已知椭圆的离心率为,左、右焦点分别为,抛物线的焦点F恰好是该椭圆的一个顶点.

(1)求椭圆C的方程;

(2)已知圆的切线与椭圆相交于A,B两点,那么以AB为直径的圆是否经过定点?如果是,求出定点的坐标;如果不是,请说明理由.

查看答案和解析>>

科目:高中数学 来源:2016届河南省高三考前冲刺四文科数学试卷(解析版) 题型:选择题

在某次测量中得到的A样本数据如下:42,43,46,52,42,50,若B样本数据恰好是A样本数据每个都减5后所得数据,则A,B两样本的下列数字特征对应相同的是( )

A.平均数 B.标准差 C.众数 D.中位数

查看答案和解析>>

科目:高中数学 来源:2016届河南省高三考前冲刺四文科数学试卷(解析版) 题型:选择题

类比平面内“垂直于同一条直线的两条直线互相平行”的性质,可得出空间内的下列结论:

①垂直于同一个平面的两条直线互相平行;

②垂直于同一条直线的两条直线互相平行;

③垂直于同一个平面的两个平面互相平行;

④垂直于同一条直线的两个平面互相平行.

其中正确的结论是( )

A.①② B.②③ C.①④ D.③④

查看答案和解析>>

科目:高中数学 来源:2016届宁夏高三下三模理科数学试卷(解析版) 题型:选择题

数列满足,对任意的都有,则( )

A. B. C. D.

查看答案和解析>>

科目:高中数学 来源:2016届上海市高三6月模拟文科数学试卷(解析版) 题型:选择题

某校某班级有42人,该班委会决定每月第一周的周一抽签决定座位,该班级座位排成6列7行,同学先在写有1、2、3、4、5、6的卡片中任取一张,确定所在列,再在写有1、2、3、4、5、6、7的卡片中任取一张确定所在行,如先后抽到卡片为2、5,则此同学座位为第2列第5行,在一学期的5次抽签中,该班班长5次位置均不相同的概率是( )

A. B. C. D.

查看答案和解析>>

同步练习册答案