精英家教网 > 高中数学 > 题目详情

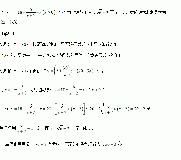
某商厦欲在春节期间对某新上市商品开展促销活动,经测算该商品的销售量万件与促销费用万元满足.已知万件该商品的进价成本为万元,商品的销售价格定为元/件.

(1)将该商品的利润万元表示为促销费用万元的函数;

(2)促销费用投入多少万元时,商家的利润最大?最大利润为多少?

练习册系列答案
相关习题

科目:高中数学 来源:2016届河北省高三上第二次月考理科数学试卷A(解析版) 题型:填空题

的最小值为,则

查看答案和解析>>

科目:高中数学 来源:2015-2016学年福建省分校高一上学期第一次月考数学卷(解析版) 题型:选择题

设集合,,其中,则x=( )

A、1 B、2 C、3 D、9

查看答案和解析>>

科目:高中数学 来源:2016届河北省高三上第二次月考理科数学B卷(解析版) 题型:解答题

(本小题满分12分)设函数

(1)若函数处有极值,求函数的最大值;

(2)①是否存在实数,使得关于的不等式上恒成立?若存在,求出的取值范围;若不存在,说明理由;

②证明:不等式

查看答案和解析>>

科目:高中数学 来源:2016届河北省高三上第二次月考理科数学A卷(解析版) 题型:填空题

的最小值为,则

查看答案和解析>>

科目:高中数学 来源:2015-2016学年宁夏育才中学高二上期中考试理科数学试卷(解析版) 题型:解答题

(本题满分12分)已知函数

(1)若对任意实数,函数值恒大于零,求实数的取值范围;

(2)若函数有两个不同的零点,求实数的取值范围.

查看答案和解析>>

科目:高中数学 来源:2015-2016学年辽宁省高二上10月月考数学试卷(解析版) 题型:选择题

执行如图的程序框图,若,则输出的 ( )

A. B. C. D.

查看答案和解析>>

科目:高中数学 来源:2015-2016学年河北省高一10月月考数学试卷(解析版) 题型:填空题

已知二次函数在区间[-3,2]上的最大值为4,则实数的值为

查看答案和解析>>

科目:高中数学 来源:2016届山东省高三10月月考理科数学试卷(解析版) 题型:解答题

(本题满分12分)设命题:函数上是增函数,命题,如果是假命题,是真命题,求的取值范围.

查看答案和解析>>

同步练习册答案