精英家教网 > 高中数学 > 题目详情

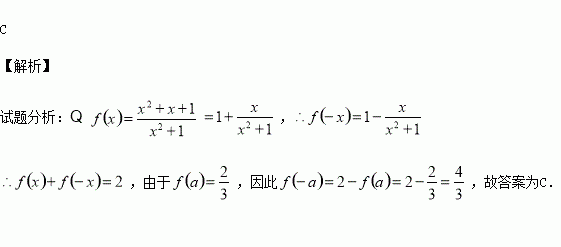
已知函数,若,则( )

A. B. C. D.

练习册系列答案
相关习题

科目:高中数学 来源:2015-2016学年湖北省高一上学期期中数学试卷(解析版) 题型:选择题

使得函数有零点的一个区间是( )

A.(0,1) B.(1,2) C.(2,3) D.(3,4)

查看答案和解析>>

科目:高中数学 来源:2015-2016学年甘肃省嘉峪关市高二上学期期中考试理科数学试卷(解析版) 题型:填空题

不等式的解集是__________.

查看答案和解析>>

科目:高中数学 来源:2016届浙江宁波效实中学高三上期中考试理科数学试卷(解析版) 题型:填空题

若指数函数的图象过点,则 ;不等式的解集为

查看答案和解析>>

科目:高中数学 来源:2016届山东省高三第二次诊断性考试文科数学试卷(解析版) 题型:选择题

已知,则的值为

A. B. C. D.

查看答案和解析>>

科目:高中数学 来源:2016届河南省原名校高三上学期第一次联考理科数学试卷(解析版) 题型:选择题

《九章算术》“竹九节”问题:现有一根九节的竹子,自上而下各节的容积成等差数列,上面节的容积共3升,下面3节的容积共4升,则第五节的容积为( )

A.升 B.升 C.升 D.1升

查看答案和解析>>

科目:高中数学 来源:2015-2016学年广东省佛山市高一上学期期中数学试卷(解析版) 题型:选择题

设函数与函数的图象如图所示,则函数的图象可能是下面的( )

查看答案和解析>>

科目:高中数学 来源:2015-2016学年甘肃省嘉峪关市高二上学期期中考试文科数学试卷(解析版) 题型:选择题

若a>b,,则下列命题中成立的是

A. B. C. D.

查看答案和解析>>

科目:高中数学 来源:2015-2016学年四川绵阳南山中学高二上期中文科数学试卷(解析版) 题型:选择题

经过点P(-2,1)且与抛物线有一个公共点的直线的条数为

A.1 B.2

C.3 D.4

查看答案和解析>>

同步练习册答案