精英家教网 > 高中数学 > 题目详情

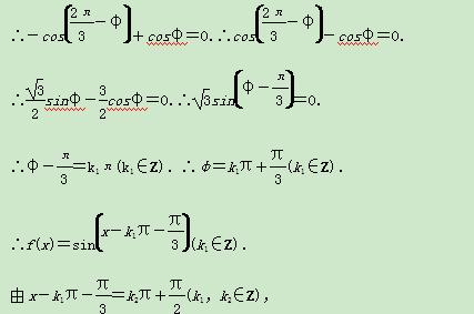
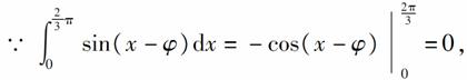
已知函数f(x)=sin(x-φ),且f(x)dx=0,则函数f(x)的图象的一条对称轴是(  )


A解析 ∵

x=(k1k2)π+π(k1k2∈Z),

f(x)的对称轴方程为x=(k1k2)π+π(k1k2∈Z).

x为函数f(x)的一条对称轴.


练习册系列答案
相关习题

科目:高中数学 来源: 题型:


某化工厂打算投入一条新的生产线,但需要经环保部门审批同意方可投入生产.已知该生产线连续生产n年的累计产量为f(n)=n(n+1)(2n+1)吨,但如果年产量超过150吨,会给环境造成危害,为保护环境,环保部门应给该厂这条生产线拟定最长的生产期限是(  )

A.5年                                  B.6年

C.7年                                  D.8年

查看答案和解析>>

科目:高中数学 来源: 题型:


已知f(x)=x3-6x2+9xabca<b<c,且f(a)=f(b)=f(c)=0.现给出如下结论:

f(0)f(1)>0;②f(0)f(1)<0;

f(0)f(3)>0;④f(0)f(3)<0.

其中正确结论的序号是________.

查看答案和解析>>

科目:高中数学 来源: 题型:


某种产品每件成本为6元,每件售价为x元(6<x<11),年销售为u万件,若已知u2成正比,且售价为10元时,年销量为28万件.

(1)求年销售利润y关于售价x的函数关系式;

(2)求售价为多少时,年利润最大,并求出最大年利润.

查看答案和解析>>

科目:高中数学 来源: 题型:


一辆汽车在高速公路上行驶,由于遇到紧急情况而刹车,以速度v(t)=7-3t(t的单位:s,v的单位:m/s)行驶至停止.在此期间汽车继续行驶的距离(单位:m)是(  )

A.1+25ln5                             B.8+25ln

C.4+25ln5                             D.4+50ln2

查看答案和解析>>

科目:高中数学 来源: 题型:


已知角α和角β的终边关于直线y=x对称,且β=-,则sinα=(  )

A.-                               B.

C.-                                 D.

查看答案和解析>>

科目:高中数学 来源: 题型:


已知角α的顶点与原点重合,始边与x轴的正半轴重合,终边上一点的坐标为(3,4),则cos2α=________.

查看答案和解析>>

科目:高中数学 来源: 题型:


查看答案和解析>>

科目:高中数学 来源: 题型:


已知函数f(x)=2sin(ωxφ)(ω>0,且|φ|<)的部分图象如图所示,则函数f(x)的一个单调递增区间是(  )

查看答案和解析>>

同步练习册答案