精英家教网 > 高中数学 > 题目详情
设x、y∈R,在直角坐标平面内,.设点M(x,y)的轨迹为C.
(Ⅰ)求C的方程;
(Ⅱ)设直线y=kx+1与C交于A、B两点,k为何值时此时||的值是多少?
【答案】分析:(Ⅰ)根据,可判断曲线C为椭圆,欲求 轨迹C的方程,只需求出椭圆的长半轴长,短半轴长,由求出a,b即可.
(Ⅱ)设A(x1,y1)、B(x2,y2),则A,B两点为直线y=kx+1与椭圆交点,可用两曲线方程联立,求x1x2+y1y2,再根据时,x1x2+y1y2=0,就可求出k只,再用弦长公式求||.
解答:解:(Ⅰ)∵
=4,
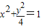
它表示以点的椭圆,其方程为,这就是所求C的方程.
(Ⅱ设直线y=kx+1与C交于A(x1,y1)、B(x2,y2)两点,
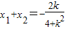
消去y得4x2+(kx+1)2=4,整理得(4+k2)x2+2kx-3=0
其△=(2k)2+12(4+k2)>0恒成立.
由韦达定理得
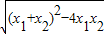
则y1y2=(kx1+1)(kx2+1)=k2x1x2+k(x1+x2)+1=+1=
|x1-x2|==
得,x1x2+y1y2=0,即+=0,
解得
此时||=|x1-x2|=
.综上得,当时,,此时||的值是
点评:本题考查了定义法求椭圆方程,以及只限于椭圆位置关系的判断,注意设而不求思想的应用.
练习册系列答案
相关习题

科目:高中数学 来源: 题型:

在平面直角坐标系xOy中,设不等式组
-1≤x≤2
0≤y≤2
所表示的平面区域是W,从区域W中随机取点M(x,y).
(Ⅰ)若x,y∈Z,求点M位于第一象限的概率;
(Ⅱ)若x,y∈R,求|OM|≤2的概率.

查看答案和解析>>

科目:高中数学 来源: 题型:

设全集U={(x,y)|x,y∈R},集合A={(x,y)|xsinα+ycosα-2=0,α∈R},则在直角平面上集合CuA内所有元素的对应点构成的图形的面积等于

查看答案和解析>>

科目:高中数学 来源:江西省玉山一中2012届高三上学期期末联考数学文科试题 题型:044

设x,y∈R,为直角坐标系平面内x轴、y轴正方向上的单位向量,若向量=x+(y+)=x+(y-),且||+||=4.

(1)求点M(x,y)的轨迹C的方程;

(2)若轨迹C上在第一角限的一点P的横坐标为1,斜率为的直线l与轨迹C交于不同两点A、B,求△PAB面积的最大值.

查看答案和解析>>

科目:高中数学 来源:2010年安徽省安庆一中高考数学三模试卷(理科)(解析版) 题型:填空题

设全集U={(x,y)|x,y∈R},集合A={(x,y)|xsinα+ycosα-2=0,α∈R},则在直角平面上集合CuA内所有元素的对应点构成的图形的面积等于   

查看答案和解析>>

科目:高中数学 来源:2010年高考数学模拟试卷(3)(解析版) 题型:解答题

在平面直角坐标系xOy中,设不等式组所表示的平面区域是W,从区域W中随机取点M(x,y).
(Ⅰ)若x,y∈Z,求点M位于第一象限的概率;
(Ⅱ)若x,y∈R,求|OM|≤2的概率.

查看答案和解析>>

同步练习册答案