精英家教网 > 高中数学 > 题目详情

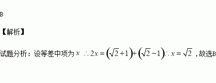
的等差中项为( )

A. B. C. D.

练习册系列答案
相关习题

科目:高中数学 来源:2015-2016学年江苏省高一上学期第一次月考数学卷(解析版) 题型:填空题

函数y=的最大值是___ ____.

查看答案和解析>>

科目:高中数学 来源:2015-2016学年吉林省扶余市高一上学期第一次月考数学试卷(解析版) 题型:填空题

已知函数f (x)=x2-6x+8,x∈[1,a],并且f(x)的最小值为f(a),则实数a的取值区间是________.

查看答案和解析>>

科目:高中数学 来源:2015-2016学年广西桂林中学高二上期中考试文科数学试卷(解析版) 题型:填空题

已知数列满足,则=

查看答案和解析>>

科目:高中数学 来源:2015-2016学年广西桂林中学高二上期中考试文科数学试卷(解析版) 题型:选择题

已知实数满足不等式组,则的取值范围为( )

A. B. C. D.

查看答案和解析>>

科目:高中数学 来源:2015-2016学年福建省师大附高二上期中理科数学试卷(解析版) 题型:填空题

已知数列满足,若,且对于任意正整数均成立,则数列的前2015项和的值为 .(用具体的数字表示)

查看答案和解析>>

科目:高中数学 来源:2015-2016学年陕西省高二上学期期中考试数学试卷(解析版) 题型:解答题

(本小题12分)在△ABC中,BC=a,AC=b,a,b是方程的两个根,且

求:(1)角C的度数;(2)AB的长度。

查看答案和解析>>

科目:高中数学 来源:2015-2016学年湖北省高二上学期期中理科数学试卷(解析版) 题型:解答题

(本小题满分10分)已知直线,(不同时为0),

(1)若,求实数的值;

(2)当时,求直线之间的距离

查看答案和解析>>

科目:高中数学 来源:2014-2015学年上海市高一下学期期末考试数学试卷(解析版) 题型:解答题

(本题满分8分) 本题共有2个小题,第1小题4分,第2小题4分.

中,内角的对边分别为.已知

(1)求的大小;

(2)若,求的面积.

查看答案和解析>>

同步练习册答案