精英家教网 > 高中数学 > 题目详情

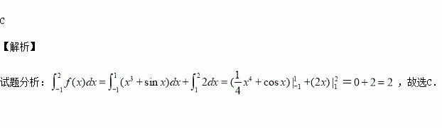
,则( )

A.0 B.1 C. 2 D.3

练习册系列答案
相关习题

科目:高中数学 来源:2015-2016学年甘肃省嘉峪关市高二上学期期末理科数学试卷(解析版) 题型:选择题

过原点的直线与双曲线有两个交点,则直线的倾斜角的取值范围是( )

A. B.

C. D.

查看答案和解析>>

科目:高中数学 来源:2015-2016学年辽宁东北育才学校高二下期中文科数学试卷(解析版) 题型:选择题

已知定义在R上的可导函数的导函数为,满足,且为偶函数,,则不等式的解集为( )

A. B. C. D.

查看答案和解析>>

科目:高中数学 来源:2015-2016学年辽宁东北育才学校高二下期中理科数学试卷(解析版) 题型:解答题

(Ⅰ)若,时,求复数的模的取值范围;

(Ⅱ)在复数范围内解关于方程(为虚数单位).

查看答案和解析>>

科目:高中数学 来源:2015-2016学年辽宁东北育才学校高二下期中理科数学试卷(解析版) 题型:选择题

定义域为R的连续函数,对任意x都有,且其导函数满足,则当时,有( )

A. B.

C. D.

查看答案和解析>>

科目:高中数学 来源:2015-2016学年辽宁省高一4月月考数学试卷(解析版) 题型:解答题

已知函数.

(1)若关于x的方程只有一个实数解,求实数取值范围;;

(2)若当时,不等式恒成立,求实数取值范围;

(3)若,求函数在[-2,2]上的最大值.

查看答案和解析>>

科目:高中数学 来源:2015-2016学年辽宁省高一4月月考数学试卷(解析版) 题型:填空题

两人射击10次,命中环数如下:

:8 6 9 5 10 7 4 7 9 5;

:7 6 5 8 6 9 6 8 8 7

两人的方差分别为 ,由以上计算可得 的射击成绩较稳定.

查看答案和解析>>

科目:高中数学 来源:2016届江苏省高三考前一周双练冲刺四数学试卷(解析版) 题型:解答题

选修4-5:不等式选讲

已知 ,求的最小值.

查看答案和解析>>

科目:高中数学 来源:2015-2016学年四川彭州中学高一重点班5月月考数学试卷(解析版) 题型:选择题

函数f(x)=的最小正周期为( )

A. B. C. D.

查看答案和解析>>

同步练习册答案