精英家教网 > 高中数学 > 题目详情

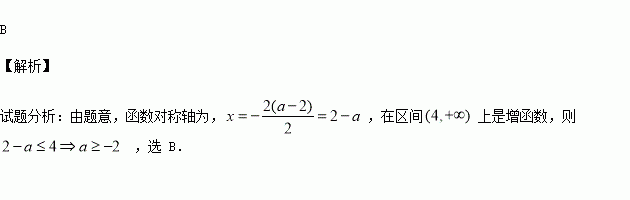
已知在区间上是增函数,则的范围是( )

A. B. C. D.

练习册系列答案
相关习题

科目:高中数学 来源:2015-2016学年辽宁省沈阳市高一上第一次月考数学试卷(解析版) 题型:选择题

(2013•建平县校级一模)已知集合,集合N={x|2x+3>0},则(∁RM)∩N=( )

A.[﹣) B.(﹣) C.(﹣] D.[﹣]

查看答案和解析>>

科目:高中数学 来源:2015-2016学年河南省高二上12月月考文科数学试卷(解析版) 题型:选择题

(2013•宣武区校级模拟)数列{an}的通项公式是an=,若前n项和为10,则项数n为( )

A.11 B.99 C.120 D.121

查看答案和解析>>

科目:高中数学 来源:2015-2016学年山东省乐陵市高一上学期期中考试数学试卷(解析版) 题型:填空题

含有三个实数的集合既可表示成,又可表示成,则

查看答案和解析>>

科目:高中数学 来源:2015-2016学年江西省南昌市高一10月月考数学试卷(解析版) 题型:选择题

图中阴影部分所表示的集合是( )

A.B∩[CU(A∪C)] B.(A∪B) ∪(B∪C)

C.(A∪C)∩(CUB) D.[CU(A∩C)]∪B

查看答案和解析>>

科目:高中数学 来源:2015-2016学年内蒙古赤峰市高一9月月考数学试卷(解析版) 题型:选择题

已知函数的定义域为,的定义域为,则( )

A. B.

C. D.

查看答案和解析>>

科目:高中数学 来源:2015-2016学年福建省宁德市高一上学期期中考试数学试卷(解析版) 题型:解答题

(1)计算:

(2)计算:

查看答案和解析>>

科目:高中数学 来源:2016届江苏省高三上第十八周周练数学试卷(解析版) 题型:填空题

已知函数,函数,其中,若函数恰有4个零点,则的取值范围是________.

查看答案和解析>>

科目:高中数学 来源:2015-2016学年浙江省高二上学期期中数学试卷(解析版) 题型:选择题

是等差数列,下列结论中正确的是( )

A.若,则

B.若,则

C.若,则

D.若,则

查看答案和解析>>

同步练习册答案