精英家教网 > 高中数学 > 题目详情

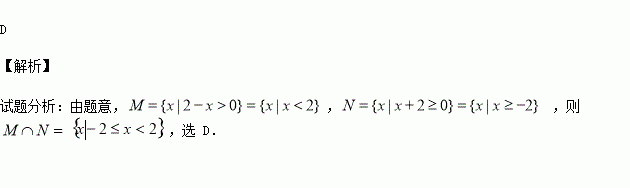
已知函数的定义域为,的定义域为,则( )

A. B.

C. D.

练习册系列答案
相关习题

科目:高中数学 来源:2015-2016学年辽宁省高二上10月月考文科数学试卷(解析版) 题型:选择题

(2015•烟台二模)某产品的广告费用x与销售额y的统计数据如下表:根据上表可得回归方程=x+a中的b=10.6,据此模型预报广告费用为10万元时销售额为( )

广告费用x(万元)

4

2

3

5

销售额y(万元)

49

26

39

58

A.112.1万元 B.113.1万元 C.111.9万元 D.113.9万元

查看答案和解析>>

科目:高中数学 来源:2015-2016学年广东省顺德市高二上第二次段考文科数学试卷(解析版) 题型:填空题

(2014秋•东阳市校级期中)棱长为1的正四面体内有一点P,由点P向各面引垂线,垂线段长度分别为d1,d2,d3,d4,则d1+d2+d3+d4的值为

查看答案和解析>>

科目:高中数学 来源:2015-2016学年江西省南昌市高一10月月考数学试卷(解析版) 题型:选择题

设函数f (x)是(-,+)上的减函数,又若aR,则( )

A.f (a)>f (2a)

B.f (a2)<f (a)

C.f (a2+a)<f (a)

D.f (a2+1)<f (a)

查看答案和解析>>

科目:高中数学 来源:2015-2016学年内蒙古赤峰市高一9月月考数学试卷(解析版) 题型:选择题

已知在区间上是增函数,则的范围是( )

A. B. C. D.

查看答案和解析>>

科目:高中数学 来源:2015-2016学年福建省宁德市高一上学期期中考试数学试卷(解析版) 题型:解答题

已知函数

(1)证明在(1,+∞)上是减函数;

(2)当时,求的最小值和最大值。

查看答案和解析>>

科目:高中数学 来源:2015-2016学年福建省宁德市高一上学期期中考试数学试卷(解析版) 题型:选择题

是奇函数,且当时,, 则当时,

等于( )

A. B. C. D.

查看答案和解析>>

科目:高中数学 来源:2016届江苏省高三上第十八周周练数学试卷(解析版) 题型:填空题

若函数分别为R上的奇函数、偶函数,且满足,则三个数的大小关系为________.

查看答案和解析>>

科目:高中数学 来源:2015-2016学年西藏日喀则一中高二10月月考文数学试卷(解析版) 题型:选择题

若函数对任意的都有恒成立,则( )

A.

B.

C.

D.的大小不确定

查看答案和解析>>

同步练习册答案