精英家教网 > 高中数学 > 题目详情

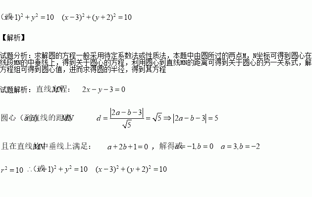
(本小题满分12分)已知圆过点M(0,-3),N(2,1),且圆心到直线MN的距离是,求圆的标准方程

练习册系列答案
相关习题

科目:高中数学 来源:2016届江苏省高三上学期第二次月考理科数学试卷(解析版) 题型:解答题

已知为实数,函数

(1)当时,求处的切线方程;

(2)定义:若函数的图象上存在两点,设线段的中点为,若在点处的切线与直线平行或重合,则函数是“中值平衡函数”,切线叫做函数的“中值平衡切线”.试判断函数是否是“中值平衡函数”?若是,判断函数的“中值平衡切线”的条数;若不是,说明理由;

()设,若存在,使得成立,求实数的取值范围.

查看答案和解析>>

科目:高中数学 来源:2016届浙江省瑞安市高三上学期第一次四校联考理科数学试卷(解析版) 题型:选择题

已知一个空间几何体的三视图如图所示,根据图中标出的尺寸,可得这个几何体的体积是 ( )

A.2 B.4 C.6 D.

查看答案和解析>>

科目:高中数学 来源:2015-2016学年辽宁师范大学附属中学高二10月月考数学试卷(解析版) 题型:选择题

不等式≥-1的解集为( )

A.(-∞,0]∪(1,+∞) B.[0,+∞)

C.[0,1)∪(1,+∞) D.(-∞,0]∪[1,+∞)

查看答案和解析>>

科目:高中数学 来源:2015-2016学年江西省南昌市高一上学期第一次月考数学试卷(解析版) 题型:解答题

已知集合

(Ⅰ)若,求实数的取值范围;

(Ⅱ)若,求实数的取值范围.

查看答案和解析>>

科目:高中数学 来源:2015-2016学年江苏省高一上学期第一次月考数学卷(解析版) 题型:解答题

已知函数为实数

(1)已知对任意的实数x,都有 成立,设集合

(2)记所有负数的集合为,求所有符合条件的的集合.

(3)设,求的最小值.

查看答案和解析>>

科目:高中数学 来源:2015-2016学年江苏省高一上学期第一次月考数学卷(解析版) 题型:填空题

定义域是,那么的定义域是

查看答案和解析>>

科目:高中数学 来源:2015-2016学年吉林省长春市高一上学期期初考试文科数学试卷(解析版) 题型:选择题

已知,若,则的大小关系为 ( )

A. B.

C. D.

查看答案和解析>>

科目:高中数学 来源:2015-2016学年湖北省高二上期中文科数学试卷(解析版) 题型:选择题

与双曲线有共同的渐近线,且经过点的双曲线的方程为( )

A. B.

C. D.

查看答案和解析>>

同步练习册答案