精英家教网 > 高中数学 > 题目详情

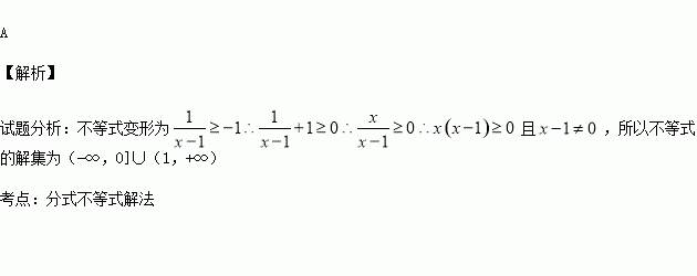
不等式≥-1的解集为( )

A.(-∞,0]∪(1,+∞) B.[0,+∞)

C.[0,1)∪(1,+∞) D.(-∞,0]∪[1,+∞)

练习册系列答案
相关习题

科目:高中数学 来源:2016届宁夏银川一中高三上学期第三次月考文科数学试卷(解析版) 题型:解答题

(本小题满分10分)选修4—5:不等式选讲

已知

(1)关于的不等式恒成立,求实数的取值范围;

(2)设,且,求证:

查看答案和解析>>

科目:高中数学 来源:2015-2016学年甘肃省高一上学期期中数学试卷(解析版) 题型:解答题

(本小题满分8分)已知集合,若能使成立的所有实数的集合是,求集合

查看答案和解析>>

科目:高中数学 来源:2016届江苏省高三九月月考数学试卷(解析版) 题型:填空题

已知函数,则函数的值域为

查看答案和解析>>

科目:高中数学 来源:2015-2016学年内蒙古赤峰平煤高中高二上学期月考数学试卷(解析版) 题型:选择题

算法共有三种逻辑结构,即顺序结构、条件结构和循环结构,下列说法正确的是 ( ).

A.一个算法只含有一种逻辑结构

B.一个算法最多可以包含两种逻辑结构

C.一个算法必须含有上述三种逻辑结构

D.一个算法可以含有上述三种逻辑结构

查看答案和解析>>

科目:高中数学 来源:2015-2016学年江西省高二上学期第一次月考数学试卷(解析版) 题型:选择题

如图,将装有水的长方体水槽固定底面一边后倾斜一个小角度,则倾斜后水槽中的水形成的几何体是( )

A.棱柱

B.棱台

C.棱柱与棱锥的组合体

D.不能确定

查看答案和解析>>

科目:高中数学 来源:2015-2016学年江西省南昌市高二10月月考数学试卷(解析版) 题型:解答题

(本小题满分12分)已知圆过点M(0,-3),N(2,1),且圆心到直线MN的距离是,求圆的标准方程

查看答案和解析>>

科目:高中数学 来源:2015-2016学年江苏省高一上学期第一次月考数学卷(解析版) 题型:填空题

下列几个图形中,可以表示函数关系y=f(x)的那一个图是________________.

查看答案和解析>>

科目:高中数学 来源:2015-2016学年吉林省扶余市高一上学期第一次月考数学试卷(解析版) 题型:填空题

已知集合A={x|x≤2},B={x|x>a},如果A∪B=R,那么a的取值范围是________.

查看答案和解析>>

同步练习册答案