精英家教网 > 高中数学 > 题目详情

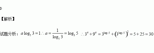
,则的值为( )

A、15 B、20 C、.25 D、30

练习册系列答案
相关习题

科目:高中数学 来源:2016届黑龙江牡丹江一中高三10月月考文数学试卷(解析版) 题型:选择题

已知f(x)=2sin(ωx+φ)的部分图像如图所示,则f(x)的表达式为( )

A.f(x)=2sin(x+

B.f(x)=2sin(x+

C.f(x)=2sin(x+

D.f(x)=2sin(x+

查看答案和解析>>

科目:高中数学 来源:2015-2016学年湖南衡阳八中高二上学期期中文科数学试卷(解析版) 题型:选择题

“对顶角相等”的逆否命题是( )

A、对顶角不相等

B、若两个角不相等,则这两个角不是对顶角

C、相等的角是对顶角

D、若两个角不是对顶角,则这两个角不相等

查看答案和解析>>

科目:高中数学 来源:2015-2016学年河北石家庄二中高一上学期期中数学试卷(解析版) 题型:解答题

已知函数

(Ⅰ)求值:

(Ⅱ)判断函数的单调性并用定义证明.

查看答案和解析>>

科目:高中数学 来源:2015-2016学年广东汕头市高二10月月考数学卷(解析版) 题型:选择题

下面四个正方体图形中,A、B为正方体的两个顶点,M、N、P分别为其所在棱的中点,能得出AB//平面MNP的图形是( )

A.①② B.①④ C.②③ D.③④

查看答案和解析>>

科目:高中数学 来源:2015-2016学年江苏省高邮市高一上学期期中调研数学试卷(解析版) 题型:填空题

函数的定义域为

查看答案和解析>>

科目:高中数学 来源:2015-2016学年吉林省扶余市高一上学期期中考试数学试卷(解析版) 题型:选择题

函数的定义域为

A. B.

C. D.

查看答案和解析>>

科目:高中数学 来源:2016届四川省成都市高三11月段测三理科数学试卷(解析版) 题型:解答题

己知椭圆C:=1(a>b>0)的离心率为,以原点为圆心,椭圆的短半轴为半径的圆与直线x-y+=0相切,过点P(4,0)且不垂直于x轴直线,与椭圆C相交于A、B两点.

(1)求椭圆C的方程:

(2)求的取值范围;

(3)若B点关于x轴的对称点是E,证明:直线AE与x轴相交于定点.

查看答案和解析>>

科目:高中数学 来源:2015-2016学年安徽师大附中高二上学期期中文科数学试卷(解析版) 题型:选择题

已知圆与直线都相切,圆心在直线上,则圆的方程为( )

A.

B.

C.

D.

查看答案和解析>>

同步练习册答案