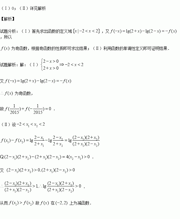
已知函数
(Ⅰ)求值:
;
(Ⅱ)判断函数的单调性并用定义证明.
练习册系列答案
相关习题
科目:高中数学
来源:2016届宁夏吴忠中学高三上第四次月考文科数学试卷(解析版)
题型:选择题
查看答案和解析>>
科目:高中数学
来源:2015-2016学年山东省高一上学期期中考试数试卷(解析版)
题型:选择题
查看答案和解析>>
科目:高中数学
来源:2015-2016学年黑龙江哈尔滨师大附中高二上期中文数学卷(解析版)
题型:选择题
查看答案和解析>>
科目:高中数学
来源:2015-2016学年河北省高一上学期期中数学试卷(解析版)
题型:解答题
查看答案和解析>>
科目:高中数学
来源:2015-2016学年广东汕头市高二10月月考数学卷(解析版)
题型:解答题
查看答案和解析>>
科目:高中数学
来源:2015-2016学年陕西省西安市高一上学期期中考试数学试卷(解析版)
题型:选择题
若
,则
的值为( )
A、15 B、20 C、.25 D、30
查看答案和解析>>
科目:高中数学
来源:2015-2016学年陕西省西安市高二上学期期中考试文科数学试卷(解析版)
题型:选择题
查看答案和解析>>
科目:高中数学
来源:2015-2016学年江苏省高一上学期期中数学试卷(解析版)
题型:填空题
函数
的单调减区间是 .
查看答案和解析>>