已知M={x|-2<x≤5},N={x|a+1≤x<2a2-1}.
(1)若M⊆N,求实数a的取值范围;(2)若M?N,求实数a的取值范围.
【答案】
分析:(1)若M⊆N,则应满,

解得a的取值范围即可;
(2)考虑N=∅时,a+1≥2a
2-1和N≠∅两种情况.
解答:解:(1)若M⊆N,则应满,

解得a≤-3;
(2)若M?N,
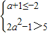
①当N=∅时,a+1≥2a
2-1,解得:

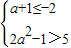
②当N≠∅时,满足

,解得{a|

}
故a的范围是{a|

}
点评:本题考查了集合的包含关系,应用数轴法能将问题简单化.