精英家教网 > 高中数学 > 题目详情

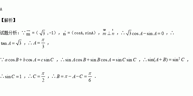
已知a,b,c为的三个内角A,B,C的对边,向量=(,-1),=(cosA,sinA),若,且,则角B=( )

(A) (B) (C) (D)

练习册系列答案
相关习题

科目:高中数学 来源:2016届辽宁省抚顺市高三10月月考理科数学试卷(解析版) 题型:解答题

(本小题满分10分)选修4-4:坐标系与参数方程

已知在平面直角坐标系中,直线的参数方程是(t是参数),以原点O为极点,x轴正半轴建立极坐标系,曲线C的极坐标方程

(Ⅰ)判断直线与曲线C的位置关系;

(Ⅱ)设M为曲线C上任意一点,求的取值范围.

查看答案和解析>>

科目:高中数学 来源:2016届河北省高三上学期三调考试文科数学试卷(解析版) 题型:解答题

(本小题满分12分)等差数列中,

(Ⅰ)求数列的通项公式;

(Ⅱ)设,求的值.

查看答案和解析>>

科目:高中数学 来源:2016届河北省高三二调理科数学试卷(解析版) 题型:填空题

,则的值为

查看答案和解析>>

科目:高中数学 来源:2015-2016学年广东中山一中高二上第一次段考文科数学卷(解析版) 题型:选择题

已知数列的前n项和为,若,则=( )

A.

B.

C.

D.

查看答案和解析>>

科目:高中数学 来源:2016届山东省乳山市高三10月月考理科数学试卷(解析版) 题型:填空题

=

查看答案和解析>>

科目:高中数学 来源:2015-2016学年黑龙江省牡丹江市高一上学期9月月考数学试卷(解析版) 题型:选择题

已知函数是定义在的增函数,则满足取值范围是( )

A.() B.[) C.() D.[

查看答案和解析>>

科目:高中数学 来源:2015-2016学年河北省高二上学期第二次月考文数学试卷(解析版) 题型:选择题

从伦敦奥运会的一张贵宾票和两张普通票中随机抽取一张,抽到贵宾票的概率是( )

A. B. C. D.

查看答案和解析>>

科目:高中数学 来源:2015-2016学年福建省福安市高二上学期第一次月考试数学试卷(解析版) 题型:填空题

在等差数列{an} 中,Sn是它的前n项和.若S16>0,且S17<0,则当Sn最大时n的值为________.

查看答案和解析>>

同步练习册答案