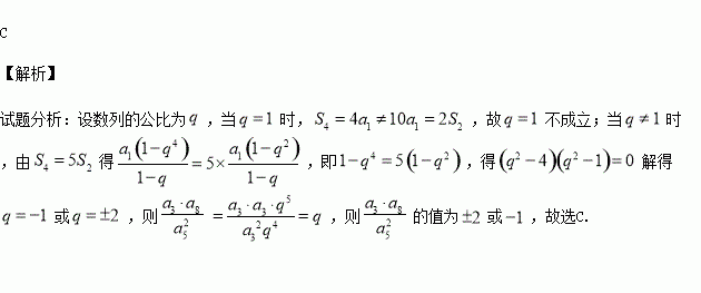
精英家教网 > 高中数学 > 题目详情

是等比数列的前项和,,则的值为( )

A. B. C. D.

练习册系列答案
相关习题

科目:高中数学 来源:2016届安徽省高三第九次月考文科数学试卷(解析版) 题型:选择题

若如双曲线的一条渐近线倾斜角为,则双曲线的离心率为( )

A.2或 B. C.2或 D.2

查看答案和解析>>

科目:高中数学 来源:2015-2016学年河北武邑中学高二下4.17周考文数学卷(解析版) 题型:选择题

,则的大小关系是( )

A. B. C. D.

查看答案和解析>>

科目:高中数学 来源:2015-2016学年河北武邑中学高二下4.17周考理数学卷(解析版) 题型:解答题

已知梯形,沿折叠成三棱锥,当三棱锥体积最大时,此时三棱锥外接球的体积是

查看答案和解析>>

科目:高中数学 来源:2015-2016学年河北武邑中学高二下4.17周考理数学卷(解析版) 题型:选择题

如图所示程序框图中,输出( )

A. B. C. D.

查看答案和解析>>

科目:高中数学 来源:2015-2016学年北大附中河南分校高一宏志班下期中数学卷(解析版) 题型:解答题

西北西康羊皮手套公司准备投入适当的广告费,对生产的羊皮手套进行促销.在1年内,据测算年销售量(万双)与广告费(万元)之间的函数关系 为,已知羊皮手套的固定投入为3万元,每生产1万元羊皮手套仍需再投入16万元.(年销售收入=年生产成本的150%+年广告费的50%)

(1)试将羊皮手套的年利润(万元)表示为年广告费(万元)的函数;

(2)当年广告费投入为多少万元时,此公司的年利润最大,最大利润为多少?(年利润=年销售收入-年广告费)

查看答案和解析>>

科目:高中数学 来源:2015-2016学年北大附中河南分校高一宏志班下期中数学卷(解析版) 题型:填空题

已知条件,条件,则非是非的________条件.

查看答案和解析>>

科目:高中数学 来源:2015-2016学年西藏日喀则一中高二4月月考文数学卷(解析版) 题型:解答题

为了解某班学生喜爱打篮球是否与性别有关,对本班50人进行了问卷调查得到了如下列表:

喜爱打篮球

不喜爱打篮球

合计

男生

5

女生

10

合计

50

已知在全班50人中随机抽取1人,抽到喜爱打篮球的学生的概率为.

(1)请将上表补充完整(不用写计算过程);

(2)能否有99.5%的把握认为喜爱打篮球与性别有关?说明你的理由.

下面的临界值表供参考:

0.15

0.10

0.05

0.025

0.010

2.072

2.706

3.841

5.024

6.635

(参考公式:,其中

查看答案和解析>>

科目:高中数学 来源:2015-2016学年湖南长郡中学高二水平模拟理科数学卷(解析版) 题型:解答题

如图,是圆的直径,垂直圆所在的平面,是圆周上一点,

已知.

求证:(1)平面平面

(2)求平面与平面所成的二面角的正切值.

查看答案和解析>>

同步练习册答案