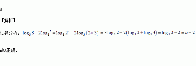
精英家教网 > 高中数学 > 题目详情

设a=log32,则log38-2log36用a表示的形式是( ).

A.a-2 B.3a-(1+a)2

C.5a-2 D.1+3a-a2

练习册系列答案
相关习题

科目:高中数学 来源:2015-2016学年江西省吉安市高二上二段考理科数学卷(解析版) 题型:选择题

,集合A是奇数集,集合B是偶数集,若命题,则( )

A.非

B.非

C.非

D.非

查看答案和解析>>

科目:高中数学 来源:2015-2016学年河南省高一12月月考数学试卷(解析版) 题型:填空题

若函数 )的值域是 ,则实数的取值范围是

查看答案和解析>>

科目:高中数学 来源:2016届宁夏吴忠中学高三上学期第四次月考理科数学试卷(解析版) 题型:填空题

图中阴影部分的面积等于

查看答案和解析>>

科目:高中数学 来源:2016届宁夏吴忠中学高三上学期第四次月考文科数学试卷(解析版) 题型:选择题

已知抛物线)的焦点与双曲线的右焦点重合,抛物线的准线与轴的交点为,点在抛物线上且,则点的横坐标为( )

A. B. C. D.

查看答案和解析>>

科目:高中数学 来源:2016届河北省邯郸市高三一轮考试二文科数学试卷(解析版) 题型:解答题

已知数列的前n项和为,点均在函数的图象上;

(1)求数列的通项公式;

(2)设,求数列的前n项和

查看答案和解析>>

科目:高中数学 来源:2015-2016学年湖南省衡阳市高二上期中理科数学试卷(解析版) 题型:填空题

若函数处取得最小值,则=__________.

查看答案和解析>>

科目:高中数学 来源:2015-2016学年辽宁师大附中高一上12月月考数学试卷(解析版) 题型:解答题

一个正三棱柱的三视图如图所示,求这个正三棱柱的体积和表面积.

查看答案和解析>>

科目:高中数学 来源:2015-2016学年浙江省温州市十校联合体高二上学期期中考试数学试卷(解析版) 题型:选择题

在平面直角坐标系内,若曲线上所有的点均在第二象限内,则实数的取值范围为( )

A. B. C. D.

查看答案和解析>>

同步练习册答案