精英家教网 > 高中数学 > 题目详情

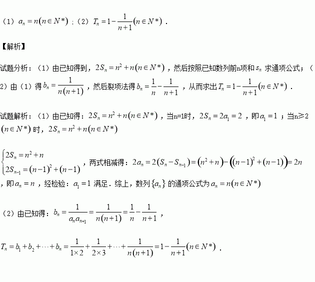
已知数列的前n项和为,点均在函数的图象上;

(1)求数列的通项公式;

(2)设,求数列的前n项和

练习册系列答案
相关习题

科目:高中数学 来源:2015-2016学年福建省高二上期中理科数学试卷(解析版) 题型:选择题

已知变量满足约束条件,则的最大值为( )

A. B. C. D.

查看答案和解析>>

科目:高中数学 来源:2015-2016学年江西省高二上第三次理科数学试卷(解析版) 题型:填空题

过椭圆的右焦点作一条斜率为2的直线与椭圆交于两点,为坐标原点,则△的面积为_______.

查看答案和解析>>

科目:高中数学 来源:2016届宁夏吴忠中学高三上学期第四次月考文科数学试卷(解析版) 题型:解答题

如图,四棱锥,平面⊥平面,△是边长为2的等边三角形,底面是矩形,且

(1)若点的中点,求证:平面

(2)若上任意一点,试问点在线段上什么位置时,

(3)若点的中点,求

查看答案和解析>>

科目:高中数学 来源:2015-2016学年甘肃天水一中高一上一学段中考试数学试卷(解析版) 题型:选择题

设a=log32,则log38-2log36用a表示的形式是( ).

A.a-2 B.3a-(1+a)2

C.5a-2 D.1+3a-a2

查看答案和解析>>

科目:高中数学 来源:2015-2016学年湖南省衡阳市高二上期中理科数学试卷(解析版) 题型:解答题

已知命题不等式的解集为,命题是减函数.若为真命题,为假命题,求实数的取值范围.

查看答案和解析>>

科目:高中数学 来源:2015-2016学年北大附中河南分校高二宏志班理科数学试卷(解析版) 题型:解答题

(1)设,证明

(2)设,证明

查看答案和解析>>

科目:高中数学 来源:2015-2016学年贵州省高一上学期中考试数学试卷(解析版) 题型:解答题

(1)函数f(x)是R上的偶函数,且当x>0时,函数的解析式为.求当x<0时,函数的解析式.

(2)若满足关系式,求

查看答案和解析>>

科目:高中数学 来源:2015-2016学年湖北省等四校高二上学期期中理科数学试卷(解析版) 题型:选择题

在长为的线段上任取一点,以为邻边作一矩形,则矩形面积小于的概率为( )

A. B. C. D.

查看答案和解析>>

同步练习册答案