精英家教网 > 高中数学 > 题目详情
在△ABC中,已知内角A、B、C所对的边分别为a、b、c,向量 =(,-2sinB),=(2cos2-1,cos2B),且,B为锐角,  
(1)求角B的大小;  
(2)设b=2,求△ABC的面积S△ABC的最大值。

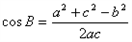
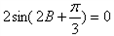
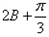
解:(1)由



=π,
即锐角。        
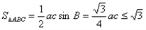
(2)∵
∴由余弦定理, 
又∵
代入上式得(当且仅当a=c=2时等号成立),
(当且仅当a=c=2时等号成立),
∴△ABC面积的最大值为

练习册系列答案
  • 学习检测系列答案
  • 学习乐园单元自主检测系列答案
  • 学生成长册系列答案
  • 学练案自助读本系列答案
  • 学力水平同步检测与评估系列答案
  • 花山小状元学科能力达标初中生100全优卷系列答案
  • 金考卷百校联盟高考考试大纲调研卷系列答案
  • 天府教与学中考复习与训练系列答案
  • 挑战压轴题系列答案
  • 必备好卷系列答案
  • 年级 高中课程 年级 初中课程
    高一 高一免费课程推荐! 初一 初一免费课程推荐!
    高二 高二免费课程推荐! 初二 初二免费课程推荐!
    高三 高三免费课程推荐! 初三 初三免费课程推荐!
    相关习题

    科目:高中数学 来源: 题型:

    在△ABC中,已知
    AB
    AC
    =9
    ,sinB=cosAsinC,又△ABC的面积等于6.
    (1)求△ABC的三边之长;
    (2)设P是△ABC(含边界)内一点,P到三边AB、BC、CA的距离分别为d1、d2、d3,求d1+d2+d3的取值范围.

    查看答案和解析>>

    科目:高中数学 来源: 题型:

    在△ABC中,已知
    AB
    AC
    =9
    .sinB=cosAsinC,面积S△ABC=6,
    (1)求△ABC的三边的长;
    (2)设P是△ABC(含边界)内的一点,P到三边AC、BC、AB的距离分别是x、y、z.
    ①写出x、y、z.所满足的等量关系;
    ②利用线性规划相关知识求出x+y+z的取值范围.

    查看答案和解析>>

    科目:高中数学 来源: 题型:

    (2011•江苏模拟)在△ABC中,已知
    AB
    AC
    =9,sinB=cosAsinC,面积S△ABC=6.
    (Ⅰ)求△ABC的三边的长;
    (Ⅱ)设P是△ABC(含边界)内一点,P到三边AC,BC,AB的距离分别为x,y和z,求x+y+z的取值范围.

    查看答案和解析>>

    科目:高中数学 来源: 题型:

    在△ABC中,已知
    AB
    AC
    =2
    3
    ,∠BAC=30°.
    (Ⅰ)求△ABC的面积;
    (Ⅱ)设M是△ABC内一点,定义f(M)=(m,n,p),其中m,n,p分别是△MBC,△MCA,△MAB的面积,若f(M)=(
    1
    2
    ,x,y)
    ,求
    1
    x
    +
    4
    y
    的最小值.

    查看答案和解析>>

    科目:高中数学 来源:2013-2014学年福建省福州市高三上学期期末质量检测理科数学试卷(解析版) 题型:填空题

    给出下列命题:

    ①“x=一1是“x25x60的必要不充分条件;

    ②在△ABC中,已知;

    ③在边长为1的正方形ABCD内随机取一点MMA1的概率为于

    ④若命题p是::对任意的,都有sinx1,为:存在,使得sinx > 1.

    其中所有真命题的序号是____

     

    查看答案和解析>>

    同步练习册答案