精英家教网 > 高中数学 > 题目详情
直线x+a2y+6=0和(a-2)x+3ay+2a=0无公共点,则a的值是( )
A.3
B.0
C.-1
D.0或-1
【答案】分析:首先讨论a是否为0,然后由两直线平行的条件解之.
解答:解:当a=0时,两直线方程分别为x+6=0和x=0,显然无公共点;
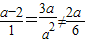
当a≠0时,
解得a=-1.
所以a=0或-1.
故选D.
点评:本题考查两直线平行的条件及分类讨论的方法.
练习册系列答案
相关习题

科目:高中数学 来源: 题型:

直线x+a2y+6=0和(a-2)x+3ay+2a=0无公共点,则a的值是(  )
A、3B、0C、-1D、0或-1

查看答案和解析>>

科目:高中数学 来源: 题型:

已知直线x+a2y+6=0与直线(a-2)x+3ay+2a=0平行,则a的值为(  )

查看答案和解析>>

科目:高中数学 来源: 题型:

直线x+a2y+6=0与(a-2)x+3ay+2=0无公共点,则a的值为(  )
A、3或-1B、0或3C、0或-1D、-1或0或3

查看答案和解析>>

科目:高中数学 来源: 题型:

已知两条直线x+a2y+6=0和(a-2)x+3ay+2a=0互相平行,则a等于(  )
A、0或3或-1B、0或3C、3或-1D、0或-1

查看答案和解析>>

科目:高中数学 来源:不详 题型:单选题

直线x+a2y+6=0和(a-2)x+3ay+2a=0无公共点,则a的值是(  )
A.3B.0C.-1D.0或-1

查看答案和解析>>

同步练习册答案