精英家教网 > 高中数学 > 题目详情

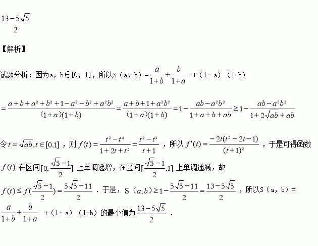
己知a,b∈[0,1],则S(a,b)= +(1a)(1-b)的最小值为

练习册系列答案
相关习题

科目:高中数学 来源:2015-2016学年山东省高一上学期期中考试数试卷(解析版) 题型:填空题

给出下列五种说法:

(1)函数)与函数的定义域相同;

(2)函数与函数的值域相同;

(3)函数的单调增区间是

(4)函数有两个零点;

(5)记函数(注:表示不超过的最大整数,例如:),则的值域是

其中所有正确的序号是

查看答案和解析>>

科目:高中数学 来源:2015-2016学年广东汕头市高二10月月考数学卷(解析版) 题型:选择题

已知直线经过不同两点,直线经过不同两点,且,则实数a的值是( )

A. B. C. D.0或

查看答案和解析>>

科目:高中数学 来源:2015-2016学年陕西省西安市高二上学期期中考试文科数学试卷(解析版) 题型:解答题

已知等差数列{an}满足a2=2,a5=8.

(1)求{an}的通项公式;

(2)各项均为正数的等比数列{bn}中,b1=1,b2+b3=a4,求{bn}的前n项和Tn.

查看答案和解析>>

科目:高中数学 来源:2015-2016学年河南省英文学校高二上学期期中考试数学试卷(解析版) 题型:填空题

已知x>0,y>0,且=1,若x+2y>m2+2m恒成立,则实数m的取值范围是

查看答案和解析>>

科目:高中数学 来源:2016届四川省成都市高三11月段测三理科数学试卷(解析版) 题型:解答题

已知数列{an}的前n项和为Sn,若Sn=2an+n,且bn=

(1)求数列{an}的通项公式;

(2)求数列{bn}的前n项和Tn.

查看答案和解析>>

科目:高中数学 来源:2016届江西省高三上学期第三次考试文科数学试卷(解析版) 题型:选择题

是定义在上的奇函数,且当时,,则函数的零点的个数是( )

A. B. C. D.

查看答案和解析>>

科目:高中数学 来源:2015-2016学年西藏日喀则一中高二10月月考文数学试卷(解析版) 题型:选择题

已知双曲线)的一条渐近线方程为,则双曲线的离心率为( )

A. B. C. D.

查看答案和解析>>

科目:高中数学 来源:2015-2016学年江西铅山一中 、横峰中学高二上学期期中理科数学卷(解析版) 题型:解答题

名男同学中选出人,名女同学中选出人,并将选出的人排成一排.

(1)共有多少种不同的排法?

(2)若选出的5人排队,男、女同学各排一排,共有多少种不同的排法?(用数字表示)

查看答案和解析>>

同步练习册答案