精英家教网 > 高中数学 > 题目详情

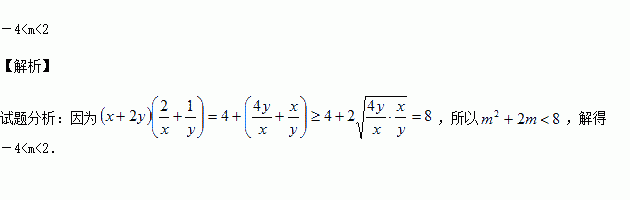
已知x>0,y>0,且=1,若x+2y>m2+2m恒成立,则实数m的取值范围是

练习册系列答案
相关习题

科目:高中数学 来源:2015-2016学年浙江慈溪中学高一1-3班上期中数学卷(解析版) 题型:填空题

已知函数 ,则______;若关于的方程有4个不同的实数根,则的取值范围是_______.

查看答案和解析>>

科目:高中数学 来源:2015-2016学年河北石家庄二中高一上学期期中数学试卷(解析版) 题型:选择题

计算的值为( )

A. B. C. D.

查看答案和解析>>

科目:高中数学 来源:2015-2016学年吉林省扶余市高一上学期期中考试数学试卷(解析版) 题型:填空题

查看答案和解析>>

科目:高中数学 来源:2015-2016学年陕西省西安市高二上学期期中考试文科数学试卷(解析版) 题型:选择题

如果函数f(x)对任意a,b满足f(a+b)=f(a)·f(b),且f(1)=2,则+…+=( )

A.4 018 B.1 006 C.2 010 D.2 014

查看答案和解析>>

科目:高中数学 来源:2016届四川省成都市高三11月段测三文科数学试卷(解析版) 题型:填空题

己知a,b∈[0,1],则S(a,b)= +(1a)(1-b)的最小值为

查看答案和解析>>

科目:高中数学 来源:2016届四川省成都市高三11月段测三理科数学试卷(解析版) 题型:选择题

若实数x,y满足不等式组,且x+y的最大值为3,则实数m=( )

A.-1 B. C.1 D.2

查看答案和解析>>

科目:高中数学 来源:2015-2016学年浙江省高二上学期期中数学试卷(解析版) 题型:选择题

已知直线,与平行,则实数a的值是( )

A.0或1 B.1或 C.0或 D.

查看答案和解析>>

科目:高中数学 来源:2015-2016学年辽宁省葫芦岛市高一上学期期中考试数学试卷(解析版) 题型:填空题

已知 是(-∞,+∞)上的增函数,那么a的取值范围是

查看答案和解析>>

同步练习册答案