精英家教网 > 高中数学 > 题目详情
已知函数f(x)=-x(0<x<)。
(1)求f(x)的导数f′(x);
(2)求证:不等式sin3x>x3cosx在(0,]上恒成立;
(3)求g(x)=(0<x≤)的最大值。
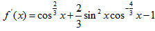
解:(1)
(2)由(1)知,其中f(0)=0,
令f′(x)=G(x),对G(x)求导数得G′(x)

=
在x∈(0,)上恒成立,
故G(x)即f(x)的导函数在(0,)上为增函数,
故f′(x)>f′(0)=0,
进而知f(x)在(0,)上为增函数,
故f(x)>f(0)=0,
当x=时,sin3x>x3cosx显然成立,
于是有sin3x-x3cosx>0在(0,]上恒成立;
(3)∵由(2)可知sin3x-x3cosx>0在(0,]上恒成立,
在(0,]上恒成立,
即g(x)在(0,]单增,
于是g(x)≤g()=
故g(x)=(0<x≤)的最大值为
练习册系列答案
相关习题

科目:高中数学 来源: 题型:

已知函数f(x)=sinxcosφ+cosxsinφ(其中x∈R,0<φ<π).
(1)求函数f(x)的最小正周期;
(2)若函数y=f(2x+
π
4
)
的图象关于直线x=
π
6
对称,求φ的值.

查看答案和解析>>

科目:高中数学 来源: 题型:

已知函数f(x)为定义在R上的奇函数,且当x>0时,f(x)=(sinx+cosx)2+2cos2x,
(1)求x<0,时f(x)的表达式;
(2)若关于x的方程f(x)-a=o有解,求实数a的范围.

查看答案和解析>>

科目:高中数学 来源: 题型:

已知函数f(x)=aInx-ax,(a∈R)
(1)求f(x)的单调递增区间;(文科可参考公式:(Inx)=
1
x

(2)若f′(2)=1,记函数g(x)=x3+x2[f(x)+
m
2
]
,若g(x)在区间(1,3)上总不单调,求实数m的范围.

查看答案和解析>>

科目:高中数学 来源: 题型:

已知函数f(x)=x2-bx的图象在点A(1,f(1))处的切线l与直线3x-y+2=0平行,若数列{
1
f(n)
}
的前n项和为Sn,则S2010的值为(  )
A、
2011
2012
B、
2010
2011
C、
2009
2010
D、
2008
2009

查看答案和解析>>

科目:高中数学 来源: 题型:

已知函数f(x)是定义在区间(-1,1)上的奇函数,且对于x∈(-1,1)恒有f’(x)<0成立,若f(-2a2+2)+f(a2+2a+1)<0,则实数a的取值范围是
 

查看答案和解析>>

同步练习册答案