精英家教网 > 高中数学 > 题目详情

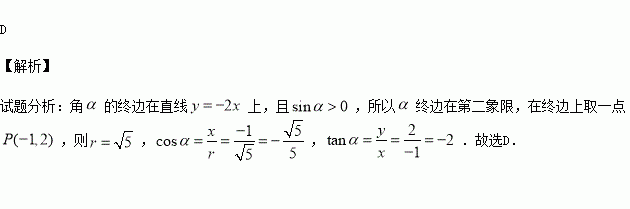
若角的终边在直线上,且,则的值分别为( )

A. B.

C. D.

练习册系列答案
相关习题

科目:高中数学 来源:2015-2016学年宁夏六盘山高中高二下第二次月考文数学卷(解析版) 题型:选择题

若有一个矩形的对角线长为常数,则其面积的最大值为( )

A. B. C. D.

查看答案和解析>>

科目:高中数学 来源:2015-2016学年辽宁省庄河市高一下期中文科数学试卷(解析版) 题型:选择题

函数的部分图象如图所示,则函数表达式为( )

A. B.

C. D.

查看答案和解析>>

科目:高中数学 来源:2015-2016学年辽宁省庄河市高一下期中理科数学试卷(解析版) 题型:填空题

已知,则___________________.

查看答案和解析>>

科目:高中数学 来源:2015-2016学年辽宁省庄河市高一下期中理科数学试卷(解析版) 题型:选择题

设向量的夹角为,且,则的值为( )

A. B. C. D.0

查看答案和解析>>

科目:高中数学 来源:2015-2016年新疆兵团农二师华山中学高二下期中理数学卷(解析版) 题型:解答题

如图,在四棱锥P﹣ABCD中,底面ABCD是正方形,侧棱PD⊥底面ABCD, PD=DC,E是PC的中点,作EF⊥PB交PB于点F.

(1)证明PA∥平面EDB;

(2)证明PB⊥平面EFD;

(3)求二面角C﹣PB﹣D的大小.

查看答案和解析>>

科目:高中数学 来源:2015-2016年新疆兵团农二师华山中学高二下期中理数学卷(解析版) 题型:填空题

.

查看答案和解析>>

科目:高中数学 来源:2015-2016学年广东中山一中高二下期中理科数学试卷(解析版) 题型:解答题

盒子内装有张卡片,上面分别写有数字,每张卡片被取到的概率相等.先从盒子中任取张卡片,记下它上面的数字,然后放回盒子内搅匀,再从盒子中任取张卡片,记下它上面的数字.设.

(1)求随机变量的分布列和数学期望;

(2)设“函数在区间内有且只有一个零点”为事件,求的概率.

查看答案和解析>>

科目:高中数学 来源:2015-2016学年山西怀仁一中高一下第三次月考理科数学卷(解析版) 题型:选择题

的终边上有一点,则的值是( )

A. B. C. D.

查看答案和解析>>

同步练习册答案